Suppr超能文献

物联网、自组织及其他复杂自适应通信网络建模:一种基于认知主体的计算方法。

Modeling the Internet of Things, Self-Organizing and Other Complex Adaptive Communication Networks: A Cognitive Agent-Based Computing Approach.

作者信息

Laghari Samreen, Niazi Muaz A

机构信息

Computer Science Department, Islamabad Model College for Girls, Street #25, F-6/2, Islamabad, Pakistan.

Computer Science Department, COMSATS Institute of IT, Park Road, Islamabad, Pakistan.

出版信息

PLoS One. 2016 Jan 26;11(1):e0146760. doi: 10.1371/journal.pone.0146760. eCollection 2016.

Abstract

BACKGROUND

Computer Networks have a tendency to grow at an unprecedented scale. Modern networks involve not only computers but also a wide variety of other interconnected devices ranging from mobile phones to other household items fitted with sensors. This vision of the "Internet of Things" (IoT) implies an inherent difficulty in modeling problems.

PURPOSE

It is practically impossible to implement and test all scenarios for large-scale and complex adaptive communication networks as part of Complex Adaptive Communication Networks and Environments (CACOONS). The goal of this study is to explore the use of Agent-based Modeling as part of the Cognitive Agent-based Computing (CABC) framework to model a Complex communication network problem.

METHOD

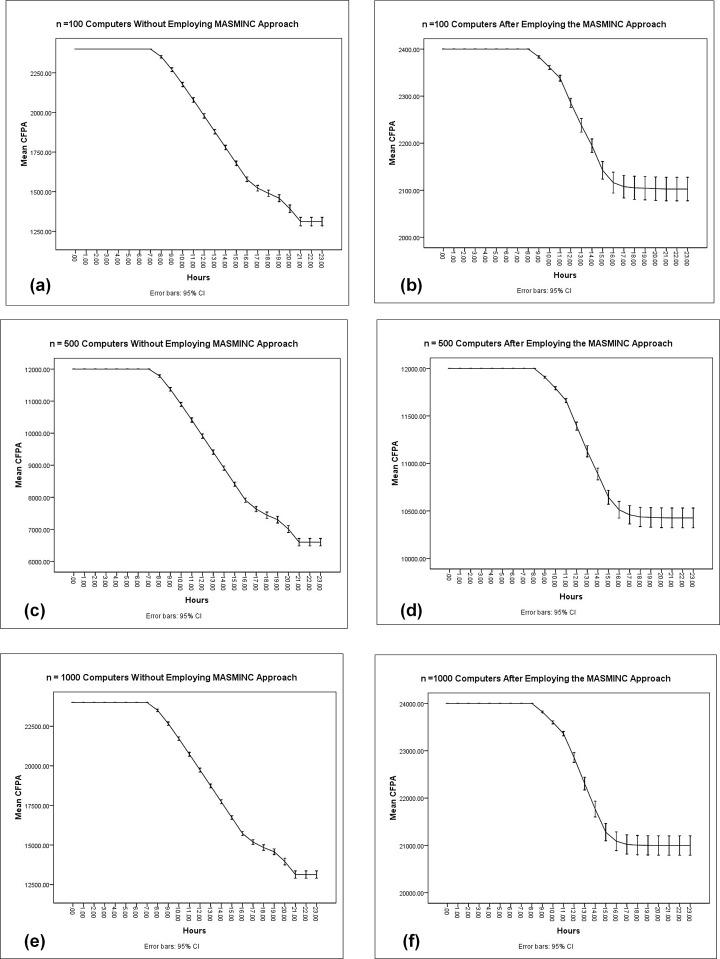
We use Exploratory Agent-based Modeling (EABM), as part of the CABC framework, to develop an autonomous multi-agent architecture for managing carbon footprint in a corporate network. To evaluate the application of complexity in practical scenarios, we have also introduced a company-defined computer usage policy.

RESULTS

The conducted experiments demonstrated two important results: Primarily CABC-based modeling approach such as using Agent-based Modeling can be an effective approach to modeling complex problems in the domain of IoT. Secondly, the specific problem of managing the Carbon footprint can be solved using a multiagent system approach.

摘要

背景

计算机网络有以空前规模增长的趋势。现代网络不仅涉及计算机,还包括从手机到其他装有传感器的家用物品等各种各样的其他互联设备。这种“物联网”(IoT)的愿景意味着在对问题进行建模时存在内在困难。

目的

作为复杂自适应通信网络与环境(CACOONS)的一部分,要对大规模复杂自适应通信网络的所有场景进行实施和测试实际上是不可能的。本研究的目标是探索将基于智能体的建模作为基于认知智能体计算(CABC)框架的一部分,用于对复杂通信网络问题进行建模。

方法

作为CABC框架的一部分,我们使用探索性基于智能体的建模(EABM)来开发一种用于管理企业网络中碳足迹的自主多智能体架构。为了评估复杂性在实际场景中的应用,我们还引入了公司定义的计算机使用策略。

结果

所进行的实验展示了两个重要结果:首先,基于CABC的建模方法,如使用基于智能体的建模,可能是对物联网领域复杂问题进行建模的有效方法。其次,使用多智能体系统方法可以解决管理碳足迹的特定问题。

https://cdn.ncbi.nlm.nih.gov/pmc/blobs/cffe/4727809/db947736294e/pone.0146760.g001.jpg

文献AI研究员

20分钟写一篇综述,助力文献阅读效率提升50倍。

立即体验

用中文搜PubMed

大模型驱动的PubMed中文搜索引擎

马上搜索

文档翻译

学术文献翻译模型,支持多种主流文档格式。

立即体验