Suppr超能文献

大型沿海食肉动物部分洄游的证据:机会主义觅食和繁殖是关键驱动因素吗?

Evidence of Partial Migration in a Large Coastal Predator: Opportunistic Foraging and Reproduction as Key Drivers?

作者信息

Espinoza Mario, Heupel Michelle R, Tobin Andrew J, Simpfendorfer Colin A

机构信息

Centre for Sustainable Tropical Fisheries and Aquaculture & College of Marine and Environmental Sciences, James Cook University, Townsville, Queensland, 4811, Australia.

AIMS@JCU, Australian Institute of Marine Science, College of Marine and Environmental Sciences, James Cook University, Townsville, Queensland, 4811, Australia.

出版信息

PLoS One. 2016 Feb 3;11(2):e0147608. doi: 10.1371/journal.pone.0147608. eCollection 2016.

Abstract

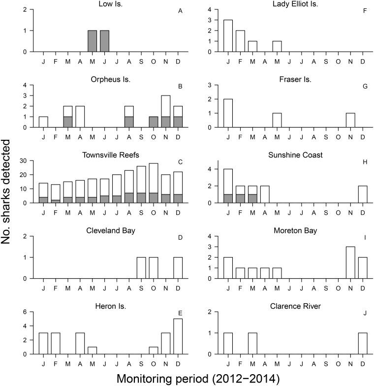
Understanding animal movement decisions that involve migration is critical for evaluating population connectivity, and thus persistence. Recent work on sharks has shown that often only a portion of the adult population will undertake migrations, while the rest may be resident in an area for long periods. Defining the extent to which adult sharks use specific habitats and their migratory behaviour is essential for assessing their risk of exposure to threats such as fishing and habitat degradation. The present study used acoustic telemetry to examine residency patterns and migratory behaviour of adult bull sharks (Carcharhinus leucas) along the East coast of Australia. Fifty-six VR2W acoustic receivers were used to monitor the movements of 33 bull sharks in the central Great Barrier Reef (GBR). Both males and females were detected year-round, but their abundance and residency peaked between September and December across years (2012-2014). High individual variability in reef use patterns was apparent, with some individuals leaving the array for long periods, whereas others (36%) exhibited medium (0.20-0.40) or high residency (> 0.50). A large portion of the population (51%) undertook migrations of up to 1,400 km to other coral reefs and/or inshore coastal habitats in Queensland and New South Wales. Most of these individuals (76%) were mature females, and the timing of migrations coincided with the austral summer (Dec-Feb). All migrating individuals (except one) returned to the central GBR, highlighting its importance as a potential foraging ground. Our findings suggest that adult bull sharks appear to be highly dependent on coral reef resources and provide evidence of partial migration, where only a portion of the female population undertook seasonal migrations potentially to give birth. Given that estuarine habitats face constant anthropogenic pressures, understanding partial migration and habitat connectivity of large coastal predators should be a priority for their management.

摘要

了解涉及迁徙的动物运动决策对于评估种群连通性乃至种群的持续生存至关重要。最近关于鲨鱼的研究表明,通常只有一部分成年鲨鱼会进行迁徙,而其余的可能会在一个区域长期栖息。确定成年鲨鱼利用特定栖息地的程度及其迁徙行为对于评估它们面临诸如捕捞和栖息地退化等威胁的风险至关重要。本研究使用声学遥测技术来研究澳大利亚东海岸成年公牛鲨(白真鲨)的栖息模式和迁徙行为。使用了56个VR2W声学接收器来监测大堡礁中部33头公牛鲨的活动。全年都能检测到雄性和雌性鲨鱼,但它们的数量和栖息情况在各年份(2012 - 2014年)的9月至12月达到峰值。礁区利用模式存在明显的个体差异,一些个体长时间离开监测区域,而其他个体(36%)表现出中等(0.20 - 至0.40)或高栖息率(> 0.50)。很大一部分种群(51%)迁徙到昆士兰州和新南威尔士州的其他珊瑚礁和/或近岸沿海栖息地,迁徙距离达1400公里。这些个体中的大多数(76%)是成年雌性,迁徙时间与澳大利亚夏季(12月至2月)一致。所有迁徙个体(除了一只)都回到了大堡礁中部,凸显了其作为潜在觅食地的重要性。我们的研究结果表明,成年公牛鲨似乎高度依赖珊瑚礁资源,并提供了部分迁徙的证据,即只有一部分雌性种群进行季节性迁徙,可能是为了分娩。鉴于河口栖息地面临持续的人为压力,了解大型沿海食肉动物的部分迁徙和栖息地连通性应成为其管理的优先事项。

https://cdn.ncbi.nlm.nih.gov/pmc/blobs/3c09/4740466/f817aeaf856c/pone.0147608.g001.jpg

文献AI研究员

20分钟写一篇综述,助力文献阅读效率提升50倍。

立即体验

用中文搜PubMed

大模型驱动的PubMed中文搜索引擎

马上搜索

文档翻译

学术文献翻译模型,支持多种主流文档格式。

立即体验