Suppr超能文献

非小细胞肺癌患者术前血浆HIF-1α水平与临床病理特征及预后的关系

The relationship between the preoperative plasma level of HIF-1α and clinic pathological features, prognosis in non-small cell lung cancer.

作者信息

He Jiabei, Hu Ying, Hu Mingming, Zhang Siyi, Li Baolan

机构信息

General department Beijing Chest Hospital, Capital Medical University/Beijing Tuberculosis and Thoracic Tumor Research Institute, Tongzhou District, Beijing, PR China.

Department of Biotechnology, Colleague of Basic Medical Sciences (CBMS), Dalian Medical University, No.9 West Section Lvshun South Road, Dalian Liaoning Province, 116044, P.R. China.

出版信息

Sci Rep. 2016 Feb 8;6:20586. doi: 10.1038/srep20586.

Abstract

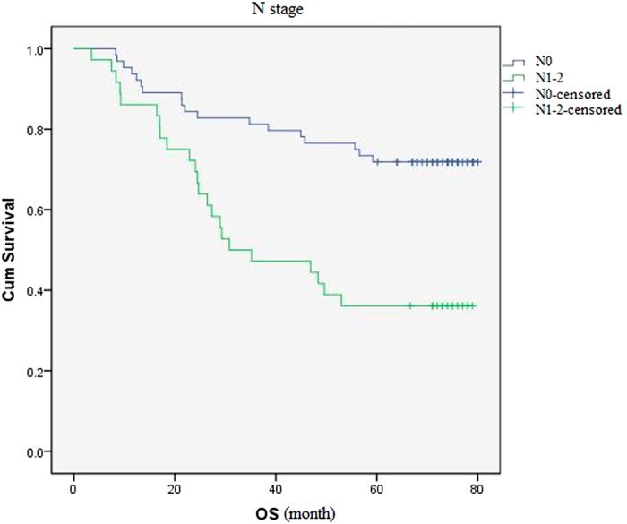
Studies have found that hypoxia is the most common feature in all of solid tumor progression, thus it has become a central issue in tumor physiology and cancer treatment. Hypoxia-inducible factor-1α (HIF-1α) could make the tumor produce adaptive biological response to hypoxia and become more aggressive. In this paper, we used enzyme linked immune sorbent assay to detect the plasma level of HIF-1α in patients with NSCLC and healthy volunteers. The results indicated that the 5-year survival rate of patients with squamous cell carcinomas is negatively correlated with the plasma level of HIF-1α and the 5-year survival rate of patients with low level of HIF-1α is higher than those with high level of HIF-1α. The plasma level of HIF-1α in patients with NSCLC is significantly higher than healthy volunteers. There is no significant correlation between the plasma level of HIF-1α and clinical features of NSCLC patients. In a word, there is no connection between the plasma level of HIF-1α and the clinical features of NSCLC patients as well as their prognosis. In stratified analysis, the plasma level of HIF-1α in patients with squamous cell carcinoma is associated with regional lymph node status.

摘要

研究发现,缺氧是所有实体瘤进展过程中最常见的特征,因此它已成为肿瘤生理学和癌症治疗中的核心问题。缺氧诱导因子-1α(HIF-1α)可使肿瘤对缺氧产生适应性生物学反应,并变得更具侵袭性。在本文中,我们采用酶联免疫吸附测定法检测非小细胞肺癌患者和健康志愿者血浆中HIF-1α的水平。结果表明,鳞状细胞癌患者的5年生存率与血浆HIF-1α水平呈负相关,HIF-1α水平低的患者5年生存率高于HIF-1α水平高的患者。非小细胞肺癌患者血浆HIF-1α水平显著高于健康志愿者。HIF-1α血浆水平与非小细胞肺癌患者的临床特征之间无显著相关性。总之,HIF-1α血浆水平与非小细胞肺癌患者的临床特征及其预后无关。在分层分析中,鳞状细胞癌患者血浆HIF-1α水平与区域淋巴结状态相关。

https://cdn.ncbi.nlm.nih.gov/pmc/blobs/12a2/4744929/005b433a44de/srep20586-f1.jpg

文献AI研究员

20分钟写一篇综述,助力文献阅读效率提升50倍。

立即体验

用中文搜PubMed

大模型驱动的PubMed中文搜索引擎

马上搜索

文档翻译

学术文献翻译模型,支持多种主流文档格式。

立即体验