Gerosa Maria, Poletti Barbara, Pregnolato Francesca, Castellino Gabriella, Lafronza Annalisa, Silani Vincenzo, Riboldi Piersandro, Meroni Pier Luigi, Merrill Joan T
Department of Clinical Sciences and Community Health, University of Milan, Milan, Italy; Division of Rheumatology, Lupus Clinic, Istituto Ortopedico Gaetano Pini, Milan, Italy.
Department of Neurology-Stroke Unit and Laboratory of Neuroscience, IRCCS Istituto Auxologico Italiano , Milan , Italy.
Front Immunol. 2016 Feb 1;7:5. doi: 10.3389/fimmu.2016.00005. eCollection 2016.
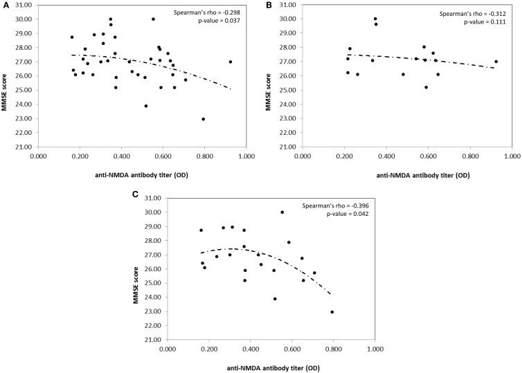
Systemic lupus erythematosus (SLE) and antiphospholipid syndrome have an increased risk to develop cognitive impairment. A possible role for antiphospholipid antibodies (aPL) and antiglutamate receptor (anti-NMDA) antibodies in the pathogenesis of neurological manifestations of these two conditions, have been suggested. In particular, the role of anti-NMDA antibodies in the pathogenesis of neuropsychiatric SLE is supported by several experimental studies in animal models and by the finding of a correlation between anti-NMDA positivity in cerebrospinal fluid and neurological manifestations of SLE. However, data from the literature are controversial, as several studies have reported a correlation of these antibodies with mild cognitive impairment in SLE, but more recent studies have not confirmed this finding. The synergism between anti-NMDA and other concomitant autoantibodies, such as aPL, can be hypothesized to play a role in inducing the tissue damage and eventually the functional abnormalities. In line with this hypothesis, we have found a high incidence of at least one impaired cognitive domain in a small cohort of patients with primary APS (PAPS) and SLE. Interestingly, aPL were associated with low scoring for language ability and attention while anti-NMDA titers and mini-mental state examination scoring were inversely correlated. However, when patients were stratified according to the presence/absence of aPL, the correlation was confirmed in aPL positive patients only. Should those findings be confirmed, the etiology of the prevalent defects found in PAPS patients as well as the synergism between aPL and anti-NMDA antibodies would need to be explored.
系统性红斑狼疮(SLE)和抗磷脂综合征发生认知障碍的风险增加。抗磷脂抗体(aPL)和抗谷氨酸受体(抗NMDA)抗体在这两种疾病神经表现的发病机制中可能发挥作用,这一点已被提出。特别是,动物模型中的多项实验研究以及脑脊液中抗NMDA阳性与SLE神经表现之间存在相关性的发现,支持了抗NMDA抗体在神经精神性SLE发病机制中的作用。然而,文献数据存在争议,因为多项研究报告了这些抗体与SLE轻度认知障碍之间的相关性,但最近的研究并未证实这一发现。可以推测,抗NMDA与其他伴随的自身抗体(如aPL)之间的协同作用在诱导组织损伤并最终导致功能异常方面发挥作用。与此假设一致,我们在一小群原发性抗磷脂综合征(PAPS)和SLE患者中发现至少一个认知领域受损的发生率很高。有趣的是,aPL与语言能力和注意力得分低有关,而抗NMDA滴度与简易精神状态检查得分呈负相关。然而,当根据aPL的存在与否对患者进行分层时,这种相关性仅在aPL阳性患者中得到证实。如果这些发现得到证实,则需要探索PAPS患者中普遍存在的缺陷的病因以及aPL与抗NMDA抗体之间的协同作用。