Suppr超能文献

用于类风湿性关节炎时辰治疗的萘普生回肠结肠靶向基质迷你片的制剂与评价

Formulation and evaluation of ileo-colonic targeted matrix-mini-tablets of Naproxen for chronotherapeutic treatment of rheumatoid arthritis.

作者信息

Hadi Mohd Abdul, Raghavendra Rao N G, Srinivasa Rao A

机构信息

Department of Pharmaceutics, Bhaskar Pharmacy College, Yenkapally (V), Moinabad (M), R. R. District, Hyderabad 500075, Telangana, India.

Moonray Institute of Pharmaceutical Sciences, Raikal, Shadnagar, N.H-44, Mahaboobnagar District 509202, Telangana, India.

出版信息

Saudi Pharm J. 2016 Jan;24(1):64-73. doi: 10.1016/j.jsps.2015.03.001. Epub 2015 Mar 20.

Abstract

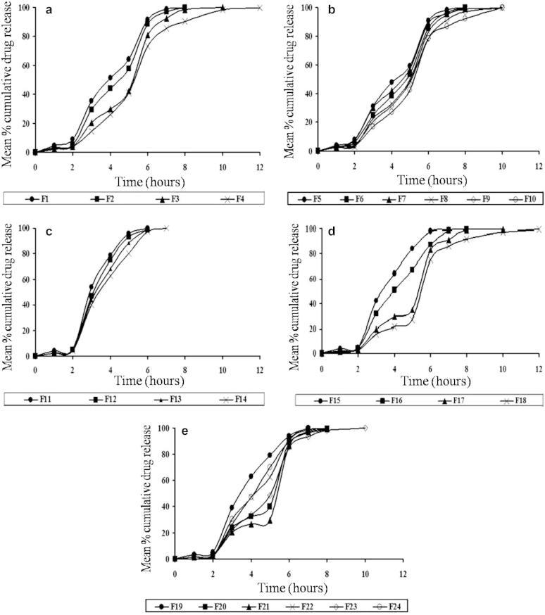
In this present research work, the aim was to develop ileo-colonic targeted matrix-mini-tablets-filled capsule system of Naproxen for chronotherapeutic treatment of Rheumatoid Arthritis. So Matrix-mini-tablets of Naproxen were prepared using microsomal enzyme dependent and pH-sensitive polymers by direct compression method which were further filled into an empty HPMC capsule. The compatibility was assessed using FT-IR and DSC studies for pure drug, polymers and their physical mixtures. The prepared batches were subjected to physicochemical studies, drug content estimation, in-vitro drug release and stability studies. When FTIR and DSC studies were performed, it was found that there was no interaction between Naproxen and polymers used. The physicochemical properties of all the prepared matrix-mini-tablets batches were found to be in limits. The drug content percentage in the optimized formulation F18 was found to be 99.24 ± 0.10%. Our optimized matrix-mini-tablets-filled-capsule formulation F18 releases Naproxen after a lag time of 2.45 ± 0.97 h and 27.30 ± 0.86%, 92.59 ± 0.47%, 99.38 ± 0.69% at the end of 5, 8, 12 h respectively. This formulation was also found to be stable as per the guidelines of International Conference on Harmonisation of Technical Requirements of Pharmaceuticals for Human Use. Thus, a novel ileo-colonic targeted delivery system of Naproxen was successfully developed by filling matrix-mini-tablets into an empty HPMC capsule shell for targeting early morning peak symptoms of rheumatoid arthritis.

摘要

在本研究工作中,目标是开发用于类风湿性关节炎时辰治疗的萘普生回肠 - 结肠靶向填充微型片的胶囊系统。因此,采用微粒体酶依赖性和pH敏感聚合物通过直接压片法制备了萘普生微型片,然后将其进一步填充到空的羟丙基甲基纤维素(HPMC)胶囊中。使用傅里叶变换红外光谱(FT - IR)和差示扫描量热法(DSC)研究对纯药物、聚合物及其物理混合物进行了相容性评估。对制备的批次进行了物理化学研究、药物含量测定、体外药物释放和稳定性研究。进行FTIR和DSC研究时,发现萘普生与所用聚合物之间没有相互作用。所有制备的微型片批次的物理化学性质均在限度范围内。优化制剂F18中的药物含量百分比为99.24±0.10%。我们优化的填充微型片的胶囊制剂F18在滞后2.45±0.97小时后释放萘普生,在5、8、12小时结束时分别释放27.30±0.86%、92.59±0.47%、99.38±0.69%。根据人用药品技术要求国际协调会议的指导原则,该制剂也被发现是稳定的。因此,通过将微型片填充到空的HPMC胶囊壳中,成功开发了一种新型的萘普生回肠 - 结肠靶向递送系统,用于靶向类风湿性关节炎的清晨高峰症状。

https://cdn.ncbi.nlm.nih.gov/pmc/blobs/9dc1/4720005/0dd484a1c118/gr1.jpg

文献AI研究员

20分钟写一篇综述,助力文献阅读效率提升50倍。

立即体验

用中文搜PubMed

大模型驱动的PubMed中文搜索引擎

马上搜索

文档翻译

学术文献翻译模型,支持多种主流文档格式。

立即体验