Suppr超能文献

铁调素作为慢性移植肾肾病大鼠模型中肾功能受损的生物标志物。

Hepcidin as a Biomarker of Impaired Renal Function in Rat Models for Chronic Allograft Nephropathy.

作者信息

Xue Dong, Zhou Cuixing, Shi Yunbo, Lu Hao, He Xiaozhou

机构信息

Department of Urology, Third Affiliated Hospital, Suzhou University, Changzhou, Jiangsu, China (mainland).

Foreign Languages School, Changzhou Institute of Technology, Changzhou, Jiangsu, China (mainland).

出版信息

Med Sci Monit. 2016 Feb 23;22:608-16. doi: 10.12659/msm.895375.

Abstract

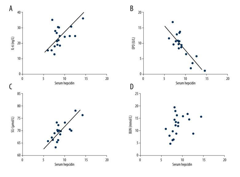
BACKGROUND To explore the use of hepcidin as a marker of impaired renal function in a rat model for chronic allograft nephropathy (CAN). MATERIAL AND METHODS Twenty-four models were developed and 20 models were included in this study, using Fisher (F344) rats (donors) and Lewis rats (recipients). Renal function tests were performed preoperatively and postoperatively. Hepcidin, interleukin-6 (IL-6), and erythropoietin levels in serum and urine were measured by enzyme-linked immunosorbent assay (ELISA). To observe pathological changes in the kidneys, 10 rats each were sacrificed at 2 months and 4 months after surgery. RESULTS After transplantation, the serum hepcidin and IL-6 levels increased, while urine hepcidin levels decreased. Erythropoietin levels showed a similar trend; all P<0.05. Serum creatinine (SCr) and blood urea nitrogen significantly increased post-operatively, with SCr positively correlating with serum hepcidin. Serum hepcidin positively correlated with IL-6 and negatively correlated with EPO. Histopathological results were consistent with CAN, after transplantation. CONCLUSIONS Hepcidin may be considered as a potential marker of impaired renal function.

摘要

背景

在慢性移植肾肾病(CAN)大鼠模型中探讨铁调素作为肾功能受损标志物的应用。材料与方法:使用Fisher(F344)大鼠(供体)和Lewis大鼠(受体)建立24个模型,本研究纳入20个模型。术前和术后进行肾功能检测。采用酶联免疫吸附测定(ELISA)法测定血清和尿液中铁调素、白细胞介素-6(IL-6)和促红细胞生成素水平。为观察肾脏病理变化,术后2个月和4个月分别处死10只大鼠。结果:移植后,血清铁调素和IL-6水平升高,而尿铁调素水平降低。促红细胞生成素水平呈现相似趋势;所有P<0.05。术后血清肌酐(SCr)和血尿素氮显著升高,SCr与血清铁调素呈正相关。血清铁调素与IL-6呈正相关,与促红细胞生成素呈负相关。移植后组织病理学结果与CAN一致。结论:铁调素可被视为肾功能受损的潜在标志物。

https://cdn.ncbi.nlm.nih.gov/pmc/blobs/a464/4767139/564b2b52f802/medscimonit-22-608-g001.jpg

文献检索

告别复杂PubMed语法,用中文像聊天一样搜索,搜遍4000万医学文献。AI智能推荐,让科研检索更轻松。

立即免费搜索

文件翻译

保留排版,准确专业,支持PDF/Word/PPT等文件格式,支持 12+语言互译。

免费翻译文档

深度研究

AI帮你快速写综述,25分钟生成高质量综述,智能提取关键信息,辅助科研写作。

立即免费体验