Suppr超能文献

112型超导体Ca0.8La0.2Fe(1-x)CoxAs2中的二次磁化峰效应、涡旋动力学和磁通钉扎

Second magnetization peak effect, vortex dynamics, and flux pinning in 112-type superconductor Ca0.8La0.2Fe(1-x)CoxAs2.

作者信息

Zhou Wei, Xing Xiangzhuo, Wu Wenjuan, Zhao Haijun, Shi Zhixiang

机构信息

Department of Physics and Key Laboratory of MEMS of the Ministry of Education, Southeast University, Nanjing 211189, China.

出版信息

Sci Rep. 2016 Mar 7;6:22278. doi: 10.1038/srep22278.

Abstract

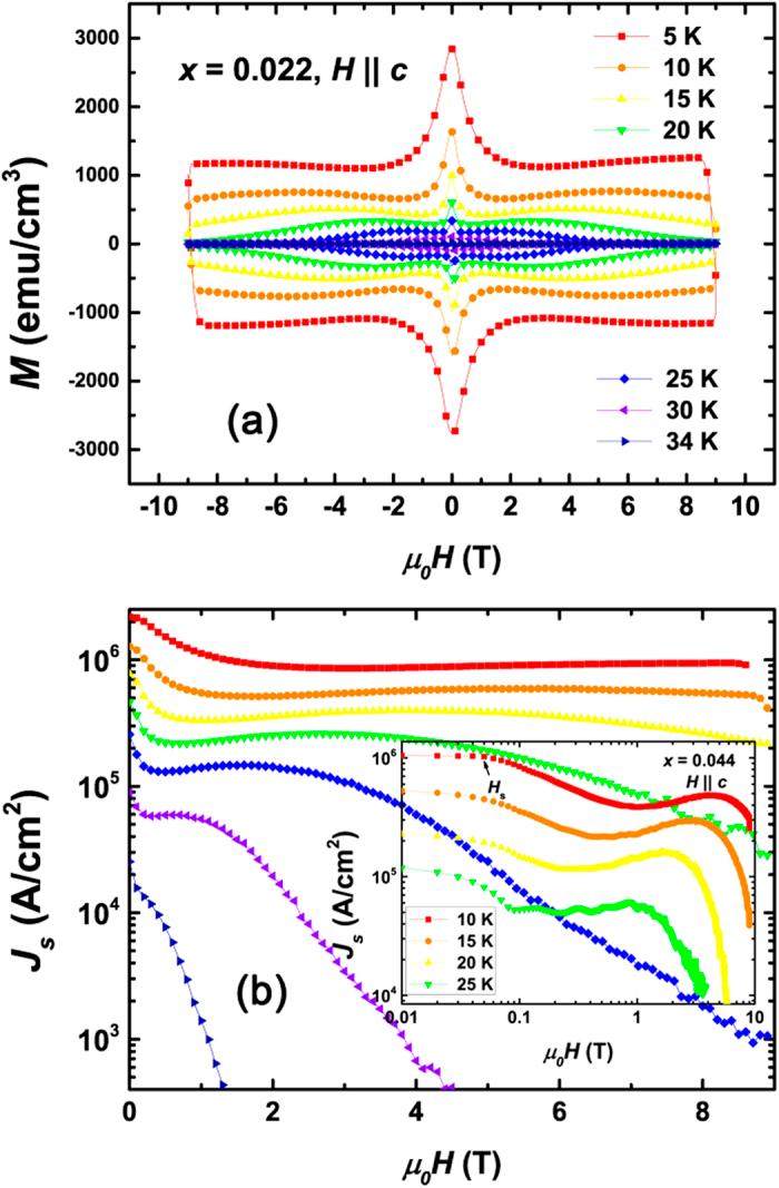
Investigation of vortex pinning and its relaxation is of great importance for both basic physics and technological applications in the field of superconductivity. We report a great improvement of superconducting properties in the recently discovered 112-type superconductors (Ca, La)FeAs2 through Co co-doping. High critical current density Js(5 K) > 2(*)10(6) A/cm(2) is obtained and pronounced second peak effect is observed in magnetization hysteresis loops. Both the dynamic and static relaxation studies result in comparable and sizable relaxation rates S or Q, indicating a fast vortex creep. The second magnetization peak (SMP) is found to be strongly associated with a crossover from elastic to plastic vortex creep. Above the crossover, plastic vortex creep governs the vortex dynamics in a wide range of temperatures and fields. A good scaling behavior of the normalized pinning force density fp by formula fp = h(p)(1-h)(q) ((p) = 1.44, q = 1.66, h = 0.44) is revealed, which demonstrates an important contribution from core normal point-like pinning sites. To better understand the SMP phenomenon, we discuss the related physical scenario as well as the affecting factors in the SMP occurrence.

摘要

研究涡旋钉扎及其弛豫对于超导领域的基础物理和技术应用都非常重要。我们报道了通过钴共掺杂,最近发现的112型超导体(Ca,La)FeAs2的超导性能有了很大改善。获得了高临界电流密度Js(5 K) > 2(*)10(6) A/cm(2),并且在磁化滞回环中观察到明显的第二峰效应。动态和静态弛豫研究都得到了相当且可观的弛豫率S或Q,表明存在快速涡旋蠕动。发现第二磁化峰(SMP)与从弹性到塑性涡旋蠕动的转变密切相关。在转变温度以上,塑性涡旋蠕动在很宽的温度和磁场范围内主导涡旋动力学。通过公式fp = h(p)(1 - h)(q)((p) = 1.44,q = 1.66,h = 0.44)揭示了归一化钉扎力密度fp的良好标度行为,这表明核心正常点状钉扎位点起了重要作用。为了更好地理解SMP现象,我们讨论了相关的物理情景以及SMP出现时的影响因素。

https://cdn.ncbi.nlm.nih.gov/pmc/blobs/1b59/4780090/0a003477a220/srep22278-f1.jpg

文献AI研究员

20分钟写一篇综述,助力文献阅读效率提升50倍。

立即体验

用中文搜PubMed

大模型驱动的PubMed中文搜索引擎

马上搜索

文档翻译

学术文献翻译模型,支持多种主流文档格式。

立即体验