Suppr超能文献

击鼓团体干预对心理健康服务使用者焦虑、抑郁、社会适应力及炎症免疫反应的影响

Effects of Group Drumming Interventions on Anxiety, Depression, Social Resilience and Inflammatory Immune Response among Mental Health Service Users.

作者信息

Fancourt Daisy, Perkins Rosie, Ascenso Sara, Carvalho Livia A, Steptoe Andrew, Williamon Aaron

机构信息

Centre for Performance Science, Royal College of Music, Prince Consort Road, London, SW7 2BS, United Kingdom.

Faculty of Medicine, Imperial College London, South Kensington Campus, London, SW7 2AZ, United Kingdom.

出版信息

PLoS One. 2016 Mar 14;11(3):e0151136. doi: 10.1371/journal.pone.0151136. eCollection 2016.

Abstract

UNLABELLED

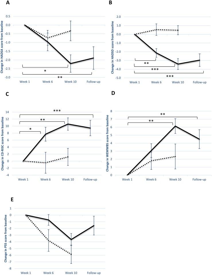
Growing numbers of mental health organizations are developing community music-making interventions for service users; however, to date there has been little research into their efficacy or mechanisms of effect. This study was an exploratory examination of whether 10 weeks of group drumming could improve depression, anxiety and social resilience among service users compared with a non-music control group (with participants allocated to group by geographical location.) Significant improvements were found in the drumming group but not the control group: by week 6 there were decreases in depression (-2.14 SE 0.50 CI -3.16 to -1.11) and increases in social resilience (7.69 SE 2.00 CI 3.60 to 11.78), and by week 10 these had further improved (depression: -3.41 SE 0.62 CI -4.68 to -2.15; social resilience: 10.59 SE 1.78 CI 6.94 to 14.24) alongside significant improvements in anxiety (-2.21 SE 0.50 CI -3.24 to -1.19) and mental wellbeing (6.14 SE 0.92 CI 4.25 to 8.04). All significant changes were maintained at 3 months follow-up. Furthermore, it is now recognised that many mental health conditions are characterised by underlying inflammatory immune responses. Consequently, participants in the drumming group also provided saliva samples to test for cortisol and the cytokines interleukin (IL) 4, IL6, IL17, tumour necrosis factor alpha (TNFα), and monocyte chemoattractant protein (MCP) 1. Across the 10 weeks there was a shift away from a pro-inflammatory towards an anti-inflammatory immune profile. Consequently, this study demonstrates the psychological benefits of group drumming and also suggests underlying biological effects, supporting its therapeutic potential for mental health.

TRIAL REGISTRATION

ClinicalTrials.gov NCT01906892.

摘要

未标注

越来越多的心理健康组织正在为服务对象开发社区音乐制作干预措施;然而,迄今为止,对其效果或作用机制的研究很少。本研究是一项探索性调查,旨在比较与非音乐对照组(参与者按地理位置分组)相比,为期10周的团体击鼓是否能改善服务对象的抑郁、焦虑和社会适应能力。击鼓组有显著改善,而对照组没有:到第6周时,抑郁有所减轻(-2.14,标准误0.50,置信区间-3.16至-1.11),社会适应能力有所提高(7.69,标准误2.00,置信区间3.60至11.78),到第10周时这些进一步改善(抑郁:-3.41,标准误0.62,置信区间-4.68至-2.15;社会适应能力:10.59,标准误1.78,置信区间6.94至14.24),同时焦虑(-2.21,标准误0.50,置信区间-3.24至-1.19)和心理健康(有效,标准误0.92,置信区间4.25至8.04)也有显著改善。所有显著变化在3个月随访时保持。此外,现在人们认识到许多心理健康状况的特征是潜在的炎症免疫反应。因此,击鼓组的参与者还提供了唾液样本以检测皮质醇和细胞因子白细胞介素(IL)4、IL6、IL17、肿瘤坏死因子α(TNFα)和单核细胞趋化蛋白(MCP)1。在这10周内,出现了从促炎免疫谱向抗炎免疫谱的转变。因此,本研究证明了团体击鼓的心理益处,并也表明了潜在的生物学效应,支持其对心理健康的治疗潜力。

试验注册

ClinicalTrials.gov NCT01906892。

https://cdn.ncbi.nlm.nih.gov/pmc/blobs/9eae/4790847/2cc963120afe/pone.0151136.g001.jpg

文献AI研究员

20分钟写一篇综述,助力文献阅读效率提升50倍。

立即体验

用中文搜PubMed

大模型驱动的PubMed中文搜索引擎

马上搜索

文档翻译

学术文献翻译模型,支持多种主流文档格式。

立即体验