Suppr超能文献

阴道加德纳菌对树突状细胞的轻微促炎免疫调节作用:细菌性阴道病的“隐形人”?

Slight Pro-Inflammatory Immunomodulation Properties of Dendritic Cells by Gardnerella vaginalis: The "Invisible Man" of Bacterial Vaginosis?

机构信息

UFR Médecine-Pharmacie, Clermont Université, Université d'Auvergne, UMR 1019 UNH, ECREIN, Laboratoire d'Immunologie, 63001 Clermont-Ferrand, France.

INRA de Theix, UMR 1019 UNH, ECREIN, 63122 Saint-Genès-Champanelle, France.

出版信息

J Immunol Res. 2016;2016:9747480. doi: 10.1155/2016/9747480. Epub 2016 Feb 17.

Abstract

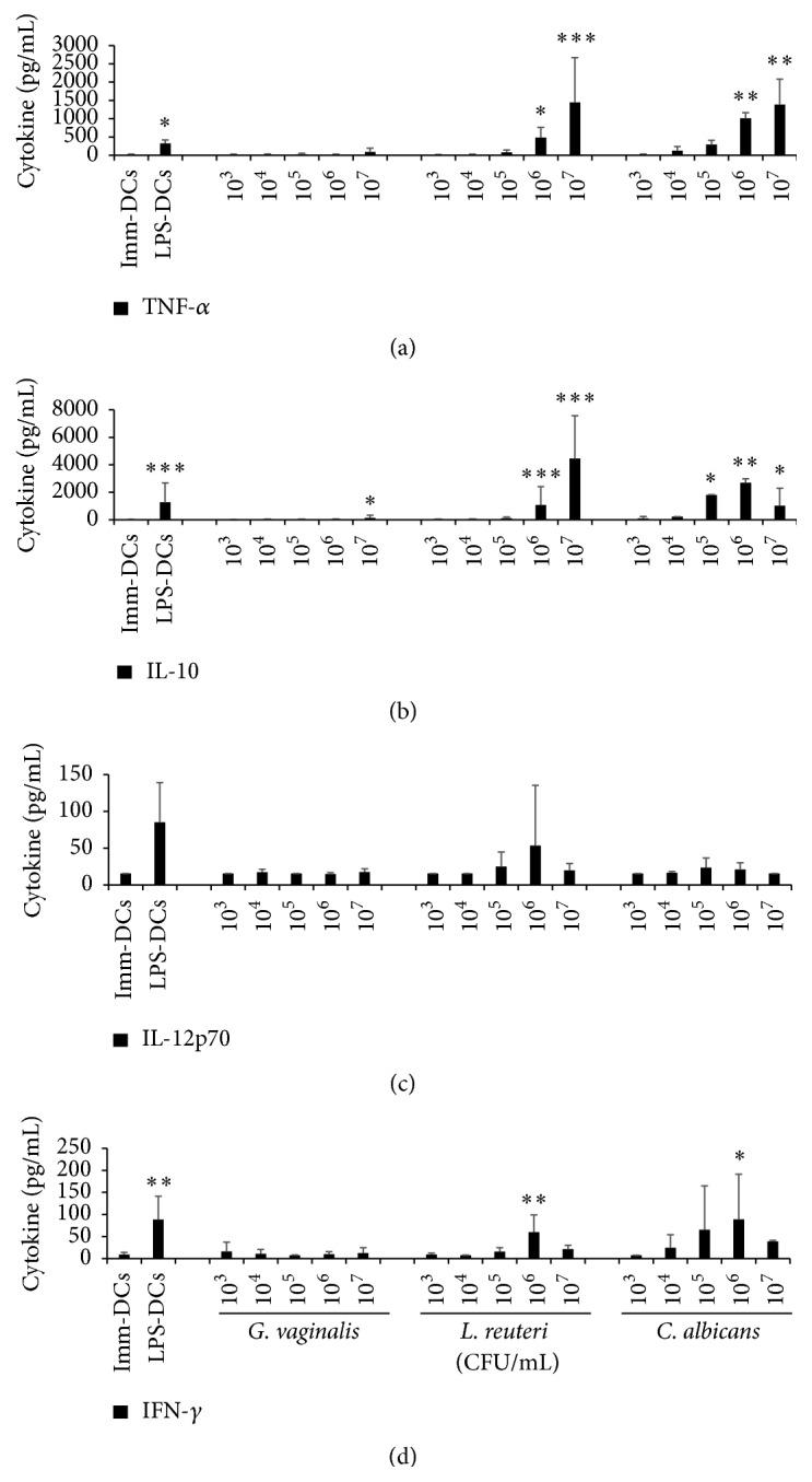
Bacterial vaginosis (BV), the most common genital infection in reproductive-aged women, is associated with increased risk of sexually transmitted infections. Its etiology remains unclear, especially the role of Gardnerella (G.) vaginalis, an anaerobic bacterium characteristic of the BV-alteration of the vaginal ecosystem. In the genital mucosa, dendritic cells (DCs) sense bacteria of the microenvironment via receptors and then orchestrate the immune response by induction of different T cell subtypes. We investigated the interactions between G. vaginalis and human monocyte-derived DCs using a wide range of bacterial concentrations (multiplicity of infection from 0.01 to 100), and the effects of this pathogen on PHA-induced lymphocyte proliferation. As observed by electron microscopy and cytometry, G. vaginalis reduced the internalization ability of DCs by forming extracellular clusters and induced neither DC maturation, nor DC secretion of cytokines, except at the highest dose with a very early DC maturation state. The same profile was observed on lymphocytes with significant increases of proliferation and cytokine secretion only at the highest bacterial concentration. Our findings indicate that G. vaginalis possesses slight immune-stimulating activities against DCs and T cells, reflecting thus a defective inflammatory response and giving rise to the atypical, non- or low-grade, inflammatory clinical disease profile.

摘要

细菌性阴道病(BV)是育龄妇女中最常见的生殖器感染,与性传播感染的风险增加有关。其病因尚不清楚,特别是阴道生态系统改变的厌氧细菌加德纳菌(G.)阴道的作用。在生殖器黏膜中,树突状细胞(DC)通过受体感知微生物环境中的细菌,然后通过诱导不同的 T 细胞亚型来协调免疫反应。我们使用广泛的细菌浓度(感染复数从 0.01 到 100)研究了 G.阴道与人类单核细胞衍生的 DC 之间的相互作用,以及这种病原体对 PHA 诱导的淋巴细胞增殖的影响。如电子显微镜和细胞术观察到的,G.阴道通过形成细胞外簇降低了 DC 的内化能力,并且除了在最高剂量下具有非常早期的 DC 成熟状态外,既没有诱导 DC 成熟,也没有诱导 DC 细胞因子分泌。在淋巴细胞上观察到相同的谱,仅在最高细菌浓度下才会显著增加增殖和细胞因子分泌。我们的研究结果表明,G.阴道对 DC 和 T 细胞具有轻微的免疫刺激活性,反映出炎症反应缺陷,并导致非典型、非低度或低度炎症临床疾病谱。

https://cdn.ncbi.nlm.nih.gov/pmc/blobs/4c42/4773579/971ff44c5d42/JIR2016-9747480.001.jpg

文献AI研究员

20分钟写一篇综述,助力文献阅读效率提升50倍。

立即体验

用中文搜PubMed

大模型驱动的PubMed中文搜索引擎

马上搜索

文档翻译

学术文献翻译模型,支持多种主流文档格式。

立即体验