Suppr超能文献

控制有害蓝藻:在生物操纵场景中蓝藻对大型水蚤摄食的特定分类群反应

Controlling Harmful Cyanobacteria: Taxa-Specific Responses of Cyanobacteria to Grazing by Large-Bodied Daphnia in a Biomanipulation Scenario.

作者信息

Urrutia-Cordero Pablo, Ekvall Mattias K, Hansson Lars-Anders

机构信息

Department of Biology, Lund University, Ecology building, SE-223 62 Lund, Sweden.

Center for Environmental and Climate Research, Lund University, Ecology Building, SE-223 62, Lund, Sweden.

出版信息

PLoS One. 2016 Apr 4;11(4):e0153032. doi: 10.1371/journal.pone.0153032. eCollection 2016.

Abstract

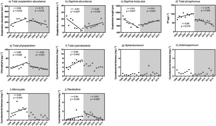
Lake restoration practices based on reducing fish predation and promoting the dominance of large-bodied Daphnia grazers (i.e., biomanipulation) have been the focus of much debate due to inconsistent success in suppressing harmful cyanobacterial blooms. While most studies have explored effects of large-bodied Daphnia on cyanobacterial growth at the community level and/or on few dominant species, predictions of such restoration practices demand further understanding on taxa-specific responses in diverse cyanobacterial communities. In order to address these questions, we conducted three grazing experiments during summer in a eutrophic lake where the natural phytoplankton community was exposed to an increasing gradient in biomass of the large-bodied Daphnia magna. This allowed evaluating taxa-specific responses of cyanobacteria to Daphnia grazing throughout the growing season in a desired biomanipulation scenario with limited fish predation. Total cyanobacterial and phytoplankton biomasses responded negatively to Daphnia grazing both in early and late summer, regardless of different cyanobacterial densities. Large-bodied Daphnia were capable of suppressing the abundance of Aphanizomenon, Dolichospermum, Microcystis and Planktothrix bloom-forming cyanobacteria. However, the growth of the filamentous Dolichospermum crassum was positively affected by grazing during a period when this cyanobacterium dominated the community. The eutrophic lake was subjected to biomanipulation since 2005 and nineteen years of lake monitoring data (1996-2014) revealed that reducing fish predation increased the mean abundance (50%) and body-size (20%) of Daphnia, as well as suppressed the total amount of nutrients and the growth of the dominant cyanobacterial taxa, Microcystis and Planktothrix. Altogether our results suggest that lake restoration practices solely based on grazer control by large-bodied Daphnia can be effective, but may not be sufficient to control the overgrowth of all cyanobacterial diversity. Although controlling harmful cyanobacterial blooms should preferably include other measures, such as nutrient reductions, our experimental assessment of taxa-specific cyanobacterial responses to large-bodied Daphnia and long-term monitoring data highlights the potential of such biomanipulations to enhance the ecological and societal value of eutrophic water bodies.

摘要

基于减少鱼类捕食和促进大型枝角类食草动物(即生物操纵)占优势的湖泊恢复实践,由于在抑制有害蓝藻水华方面成效不一,一直是诸多争论的焦点。虽然大多数研究探讨了大型枝角类对蓝藻生长在群落水平上的影响和/或对少数优势物种的影响,但此类恢复实践的预测需要进一步了解不同蓝藻群落中特定分类群的反应。为了解决这些问题,我们在夏季于一个富营养化湖泊中进行了三项放牧实验,在该湖泊中,自然浮游植物群落暴露于大型蚤状溞生物量不断增加的梯度环境中。这使得我们能够在鱼类捕食有限的理想生物操纵场景下,评估整个生长季节蓝藻对枝角类放牧的特定分类群反应。无论蓝藻密度如何,总蓝藻和浮游植物生物量在夏初和夏末对枝角类放牧均呈负反应。大型枝角类能够抑制水华束丝藻、阿氏浮丝藻、微囊藻和席藻等形成水华的蓝藻的丰度。然而,在丝状粗壮浮丝藻在群落中占主导地位的时期,放牧对其生长有积极影响。自2005年以来,该富营养化湖泊一直进行生物操纵,19年的湖泊监测数据(1996 - 2014年)显示,减少鱼类捕食增加了枝角类的平均丰度(50%)和体型(20%),同时抑制了营养物质总量以及优势蓝藻分类群微囊藻和席藻的生长。总体而言,我们的结果表明,仅基于大型枝角类控制食草动物的湖泊恢复实践可能是有效的,但可能不足以控制所有蓝藻多样性的过度生长。虽然控制有害蓝藻水华最好应包括其他措施,如减少营养物质,但我们对特定分类群蓝藻对大型枝角类反应的实验评估以及长期监测数据凸显了此类生物操纵在提高富营养化水体生态和社会价值方面的潜力。

https://cdn.ncbi.nlm.nih.gov/pmc/blobs/a6e2/4820120/6d4d906296f7/pone.0153032.g001.jpg

文献AI研究员

20分钟写一篇综述,助力文献阅读效率提升50倍。

立即体验

用中文搜PubMed

大模型驱动的PubMed中文搜索引擎

马上搜索

文档翻译

学术文献翻译模型,支持多种主流文档格式。

立即体验