Suppr超能文献

339例骨髓增生异常综合征和急性髓系白血病患者接受阿扎胞苷一线治疗:法美英分类与世界卫生组织分类的比较

Azacitidine front-line in 339 patients with myelodysplastic syndromes and acute myeloid leukaemia: comparison of French-American-British and World Health Organization classifications.

作者信息

Pleyer Lisa, Burgstaller Sonja, Stauder Reinhard, Girschikofsky Michael, Sill Heinz, Schlick Konstantin, Thaler Josef, Halter Britta, Machherndl-Spandl Sigrid, Zebisch Armin, Pichler Angelika, Pfeilstöcker Michael, Autzinger Eva-Maria, Lang Alois, Geissler Klaus, Voskova Daniela, Geissler Dietmar, Sperr Wolfgang R, Hojas Sabine, Rogulj Inga M, Andel Johannes, Greil Richard

机构信息

3rd Medical Department with Hematology and Medical Oncology, Hemostaseology, Rheumatology and Infectious Diseases, Laboratory for Immunological and Molecular Cancer Research, Oncologic Center, Paracelsus Medical University Salzburg, Salzburg, Austria.

Center for Clinical Cancer and Immunology Trials at Salzburg Cancer Research Institute, Salzburg, Austria.

出版信息

J Hematol Oncol. 2016 Apr 16;9:39. doi: 10.1186/s13045-016-0263-4.

Abstract

BACKGROUND

The MDS-IWG and NCCN currently endorse both FAB and WHO classifications of MDS and AML, thus allowing patients with 20-30 % bone marrow blasts (AML20-30, formerly MDS-RAEB-t) to be categorised and treated as either MDS or AML. In addition, an artificial distinction between AML20-30 and AML30+ was made by regulatory agencies by initially restricting approval of azacitidine to AML20-30. Thus, uncertainty prevails regarding the diagnosis, prognosis and optimal treatment timing and strategy for patients with AML20-30. Here, we aim to provide clarification for patients treated with azacitidine front-line.

METHODS

The Austrian Azacitidine Registry is a multicentre database (ClinicalTrials.gov: NCT01595295). For this analysis, we selected 339 patients treated with azacitidine front-line. According to the WHO classification 53, 96 and 190 patients had MDS-RAEB-I, MDS-RAEB-II and AML (AML20-30: n = 79; AML30+: n = 111), respectively. According to the FAB classification, 131, 101 and 111 patients had MDS-RAEB, MDS-RAEB-t and AML, respectively.

RESULTS

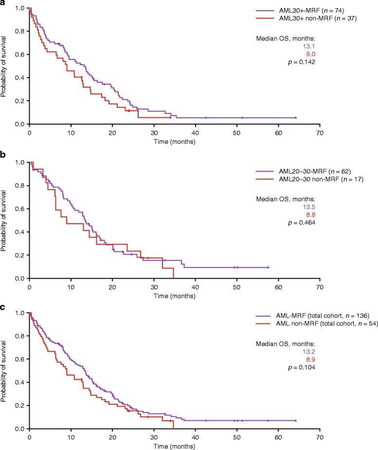
The median ages of patients with MDS and AML were 72 (range 37-87) and 77 (range 23-93) years, respectively. Overall, 80 % of classifiable patients (≤30 % bone marrow blasts) had intermediate-2 or high-risk IPSS scores. Most other baseline, treatment and response characteristics were similar between patients diagnosed with MDS or AML. WHO-classified patients with AML20-30 had significantly worse OS than patients with MDS-RAEB-II (13.1 vs 18.9 months; p = 0.010), but similar OS to patients with AML30+ (10.9 vs 13.1 months; p = 0.238). AML patients that showed MDS-related features did not have worse outcomes compared with patients who did not (13.2 vs 8.9 months; p = 0.104). FAB-classified patients with MDS-RAEB-t had similar survival to patients with AML30+ (12.8 vs 10.9 months; p = 0.376), but significantly worse OS than patients with MDS-RAEB (10.9 vs 24.4 months; p < 0.001).

CONCLUSIONS

Our data demonstrate the validity of the WHO classification of MDS and AML, and its superiority over the former FAB classification, for patients treated with azacitidine front-line. Neither bone marrow blast count nor presence of MDS-related features had an adverse prognostic impact on survival. Patients with AML20-30 should therefore be regarded as having 'true AML' and in our opinion treatment should be initiated without delay.

摘要

背景

MDS国际工作组(MDS-IWG)和美国国立综合癌症网络(NCCN)目前认可骨髓增生异常综合征(MDS)和急性髓系白血病(AML)的FAB分类和世界卫生组织(WHO)分类,因此,骨髓原始细胞比例为20%-30%的患者(AML20-30,原MDS-RAEB-t)既可以归类为MDS,也可以归类为AML并进行相应治疗。此外,监管机构人为地对AML20-30和AML30+进行了区分,最初将阿扎胞苷的批准范围限制在AML20-30。因此,AML20-30患者的诊断、预后以及最佳治疗时机和策略仍存在不确定性。在此,我们旨在为接受一线阿扎胞苷治疗的患者提供明确的信息。

方法

奥地利阿扎胞苷登记处是一个多中心数据库(ClinicalTrials.gov:NCT01595295)。对于本分析,我们选择了339例接受一线阿扎胞苷治疗的患者。根据WHO分类,53例、96例和190例患者分别患有MDS-RAEB-I、MDS-RAEB-II和AML(AML20-30:n = 79;AML30+:n = 111)。根据FAB分类,131例、101例和111例患者分别患有MDS-RAEB、MDS-RAEB-t和AML。

结果

MDS和AML患者的中位年龄分别为72岁(范围37-87岁)和77岁(范围23-93岁)。总体而言,可分类患者(骨髓原始细胞≤30%)中80%的患者国际预后评分系统(IPSS)为中-2或高危。诊断为MDS或AML的患者之间的大多数其他基线、治疗和反应特征相似。WHO分类为AML20-30的患者总生存期(OS)显著低于MDS-RAEB-II患者(13.1个月对18.9个月;p = 0.010),但与AML30+患者相似(10.9个月对13.1个月;p = 0.238)。表现出MDS相关特征的AML患者与未表现出该特征的患者相比,预后并无更差(13.2个月对8.9个月;p = 0.104)。FAB分类为MDS-RAEB-t的患者与AML30+患者的生存期相似(12.8个月对10.9个月;p = 0.376),但OS显著低于MDS-RAEB患者(10.9个月对24.4个月;p < 0.001)。

结论

我们的数据证明了WHO对MDS和AML的分类对于接受一线阿扎胞苷治疗的患者的有效性及其优于先前FAB分类的特性。骨髓原始细胞计数和MDS相关特征的存在对生存期均无不良预后影响。因此,AML20-30患者应被视为患有“真性AML”,我们认为应立即开始治疗。

https://cdn.ncbi.nlm.nih.gov/pmc/blobs/fda0/4833933/a0fb61bb11c8/13045_2016_263_Fig1_HTML.jpg

文献AI研究员

20分钟写一篇综述,助力文献阅读效率提升50倍。

立即体验

用中文搜PubMed

大模型驱动的PubMed中文搜索引擎

马上搜索

文档翻译

学术文献翻译模型,支持多种主流文档格式。

立即体验