• 文献检索
  • 文档翻译
  • 深度研究
  • 学术资讯
  • Suppr Zotero 插件Zotero 插件
  • 邀请有礼
  • 套餐&价格
  • 历史记录
应用&插件
Suppr Zotero 插件Zotero 插件浏览器插件Mac 客户端Windows 客户端微信小程序
定价
高级版会员购买积分包购买API积分包
服务
文献检索文档翻译深度研究API 文档MCP 服务
关于我们
关于 Suppr公司介绍联系我们用户协议隐私条款
关注我们

Suppr 超能文献

核心技术专利:CN118964589B侵权必究
粤ICP备2023148730 号-1Suppr @ 2026

文献检索

告别复杂PubMed语法,用中文像聊天一样搜索,搜遍4000万医学文献。AI智能推荐,让科研检索更轻松。

立即免费搜索

文件翻译

保留排版,准确专业,支持PDF/Word/PPT等文件格式,支持 12+语言互译。

免费翻译文档

深度研究

AI帮你快速写综述,25分钟生成高质量综述,智能提取关键信息,辅助科研写作。

立即免费体验

热射频消融作为结直肠癌肝转移患者的辅助治疗

Thermal Radiofrequency Ablation as an Adjuvant Therapy for Patients With Colorectal Liver Metastasis.

作者信息

Fan Yaohua, Zhu Xiyan, Lan Qiuping, Lou Fang, Zheng Yu, Lou Haizhou, Fang Yong, Jin Wei, Pan Hongming, Wang Kaifeng

机构信息

Department of Oncology, Sir Run Run Shaw Hospital, Zhejiang University School of Medicine, Hangzhou, China.

出版信息

Oncol Res. 2016;23(5):219-28. doi: 10.3727/096504016X14567549091260.

DOI:10.3727/096504016X14567549091260
PMID:27098145
原文链接:https://pmc.ncbi.nlm.nih.gov/articles/PMC7838751/
Abstract

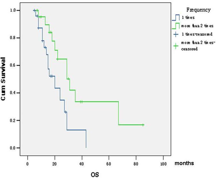
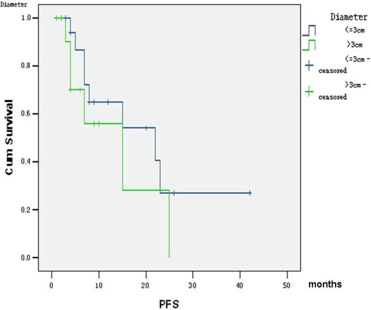
Radiofrequency ablation (RFA) is a minimally invasive technology for the treatment of liver malignancies and is used as an adjuvant therapy in patients with colorectal liver metastasis (CLM). This study enrolled a total of 49 CLM patients who underwent RFA treatment. Univariate and multivariate analyses were performed using the log-rank test and Cox proportional hazard model, respectively. Univariate analysis showed that OS was closely correlated with tumor size, frequency of RFA treatment, resection of the liver lesion, and CEA levels before RFA (p < 0.05). Multivariate analysis revealed that resection of CLM lesions after RFA, frequency of RFA treatment, and serum CEA levels before RFA were independent risk factors for the survival of CLM patients (p < 0.05). Tumor lesion size, resection of the liver lesion after RFA, frequency of RFA treatment, and serum CEA levels before RFA may be important prognostic factors of CLM patients treated with RFA therapy.

摘要

射频消融(RFA)是一种用于治疗肝脏恶性肿瘤的微创技术,在结直肠癌肝转移(CLM)患者中用作辅助治疗。本研究共纳入49例接受RFA治疗的CLM患者。分别使用对数秩检验和Cox比例风险模型进行单因素和多因素分析。单因素分析显示,总生存期(OS)与肿瘤大小、RFA治疗频率、肝病灶切除以及RFA术前癌胚抗原(CEA)水平密切相关(p < 0.05)。多因素分析表明,RFA术后CLM病灶切除、RFA治疗频率以及RFA术前血清CEA水平是CLM患者生存的独立危险因素(p < 0.05)。肿瘤病灶大小、RFA术后肝病灶切除、RFA治疗频率以及RFA术前血清CEA水平可能是接受RFA治疗的CLM患者重要的预后因素。

https://cdn.ncbi.nlm.nih.gov/pmc/blobs/ae6b/7838751/1187238c68e7/OR-23-219-g008.jpg
https://cdn.ncbi.nlm.nih.gov/pmc/blobs/ae6b/7838751/457c6234e5eb/OR-23-219-g001.jpg
https://cdn.ncbi.nlm.nih.gov/pmc/blobs/ae6b/7838751/970557b0503c/OR-23-219-g002.jpg
https://cdn.ncbi.nlm.nih.gov/pmc/blobs/ae6b/7838751/2b34cf3125fc/OR-23-219-g003.jpg
https://cdn.ncbi.nlm.nih.gov/pmc/blobs/ae6b/7838751/03d5cf538f21/OR-23-219-g004.jpg
https://cdn.ncbi.nlm.nih.gov/pmc/blobs/ae6b/7838751/1299316ad778/OR-23-219-g005.jpg
https://cdn.ncbi.nlm.nih.gov/pmc/blobs/ae6b/7838751/24e85e8d37da/OR-23-219-g006.jpg
https://cdn.ncbi.nlm.nih.gov/pmc/blobs/ae6b/7838751/1df59e12e82e/OR-23-219-g007.jpg
https://cdn.ncbi.nlm.nih.gov/pmc/blobs/ae6b/7838751/1187238c68e7/OR-23-219-g008.jpg
https://cdn.ncbi.nlm.nih.gov/pmc/blobs/ae6b/7838751/457c6234e5eb/OR-23-219-g001.jpg
https://cdn.ncbi.nlm.nih.gov/pmc/blobs/ae6b/7838751/970557b0503c/OR-23-219-g002.jpg
https://cdn.ncbi.nlm.nih.gov/pmc/blobs/ae6b/7838751/2b34cf3125fc/OR-23-219-g003.jpg
https://cdn.ncbi.nlm.nih.gov/pmc/blobs/ae6b/7838751/03d5cf538f21/OR-23-219-g004.jpg
https://cdn.ncbi.nlm.nih.gov/pmc/blobs/ae6b/7838751/1299316ad778/OR-23-219-g005.jpg
https://cdn.ncbi.nlm.nih.gov/pmc/blobs/ae6b/7838751/24e85e8d37da/OR-23-219-g006.jpg
https://cdn.ncbi.nlm.nih.gov/pmc/blobs/ae6b/7838751/1df59e12e82e/OR-23-219-g007.jpg
https://cdn.ncbi.nlm.nih.gov/pmc/blobs/ae6b/7838751/1187238c68e7/OR-23-219-g008.jpg

相似文献

1
Thermal Radiofrequency Ablation as an Adjuvant Therapy for Patients With Colorectal Liver Metastasis.热射频消融作为结直肠癌肝转移患者的辅助治疗
Oncol Res. 2016;23(5):219-28. doi: 10.3727/096504016X14567549091260.
2
Local recurrence rates after radiofrequency ablation or resection of colorectal liver metastases. Analysis of the European Organisation for Research and Treatment of Cancer #40004 and #40983.结直肠肝转移瘤射频消融或切除术治疗后的局部复发率。欧洲癌症研究与治疗组织 #40004 和 #40983 分析。
Eur J Cancer. 2014 Mar;50(5):912-9. doi: 10.1016/j.ejca.2013.12.008. Epub 2014 Jan 7.
3
Combined Hepatic Resection and Radio-frequency Ablation for Patients with Colorectal Cancer Liver Metastasis: A Viable Option for Patients with a Large Number of Tumors.联合肝切除与射频消融治疗结直肠癌肝转移患者:大量肿瘤患者的可行选择
Anticancer Res. 2018 Nov;38(11):6353-6360. doi: 10.21873/anticanres.12993.
4
[Radiofrequency ablation of colorectal liver metastases].[结直肠癌肝转移的射频消融术]
Zentralbl Chir. 2009 Apr;134(2):145-8. doi: 10.1055/s-2008-1076874. Epub 2009 Apr 20.
5
Long-term outcome of radiofrequency thermal ablation (RFA) of liver metastases from colorectal cancer (CRC): size as the leading prognostic factor for survival.结直肠癌肝转移瘤射频热消融治疗的长期疗效:肿瘤大小是影响生存的主要预后因素。
Radiol Med. 2012 Oct;117(7):1139-51. doi: 10.1007/s11547-012-0803-3. Epub 2012 Mar 19.
6
Patterns of recurrence following selective intraoperative radiofrequency ablation as an adjunct to hepatic resection for colorectal liver metastases.选择性术中射频消融辅助肝切除治疗结直肠癌肝转移后的复发模式。
J Surg Oncol. 2014 Nov;110(6):734-8. doi: 10.1002/jso.23689. Epub 2014 Jun 25.
7
[Prognostic analysis of colorectal liver metastases treated by surgery combined with intraoperative radiofrequency ablation].[手术联合术中射频消融治疗结直肠癌肝转移的预后分析]
Zhonghua Wai Ke Za Zhi. 2017 Jul 1;55(7):521-527. doi: 10.3760/cma.j.issn.0529-5815.2017.07.009.
8
Selection criteria for radiofrequency ablation for colorectal liver metastases in the era of effective systemic therapy: a clinical score based proposal.有效全身治疗时代结直肠癌肝转移射频消融的选择标准:基于临床评分的建议
BMC Cancer. 2014 Jul 9;14:500. doi: 10.1186/1471-2407-14-500.
9
Surgical resection for local recurrence after radiofrequency ablation for colorectal liver metastasis is more extensive than primary resection.结直肠癌肝转移射频消融术后局部复发的手术切除范围比初次切除更为广泛。
Scand J Gastroenterol. 2014 May;49(5):569-75. doi: 10.3109/00365521.2014.893013. Epub 2014 Mar 14.
10
Solitary colorectal liver metastasis: resection determines outcome.孤立性结直肠癌肝转移:手术切除决定预后。
Arch Surg. 2006 May;141(5):460-6; discussion 466-7. doi: 10.1001/archsurg.141.5.460.

引用本文的文献

1
Microwave Ablation, Radiofrequency Ablation, Irreversible Electroporation, and Stereotactic Ablative Body Radiotherapy for Intermediate Size (3-5 cm) Unresectable Colorectal Liver Metastases: a Systematic Review and Meta-analysis.微波消融、射频消融、不可逆电穿孔和立体定向消融体部放射治疗 3-5cm 不可切除结直肠癌肝转移:系统评价和荟萃分析。
Curr Oncol Rep. 2022 Jun;24(6):793-808. doi: 10.1007/s11912-022-01248-6. Epub 2022 Mar 17.
2
Prognostic value of carcinoembryonic antigen level in patients with colorectal cancer liver metastasis treated with percutaneous microwave ablation under ultrasound guidance.超声引导下经皮微波消融治疗结直肠癌肝转移患者癌胚抗原水平的预后价值
Medicine (Baltimore). 2018 Mar;97(10):e0044. doi: 10.1097/MD.0000000000010044.

本文引用的文献

1
Percutaneous stereotactic radiofrequency ablation of colorectal liver metastases.经皮立体定向射频消融治疗结直肠肝转移瘤。
Eur Radiol. 2012 Apr;22(4):930-7. doi: 10.1007/s00330-011-2314-0. Epub 2011 Nov 10.
2
Comparative analysis of radiofrequency ablation and surgical resection for colorectal liver metastases.结直肠癌肝转移的射频消融与手术切除的对比分析
J Korean Surg Soc. 2011 Jul;81(1):25-34. doi: 10.4174/jkss.2011.81.1.25. Epub 2011 Jul 11.
3
Stage IV colorectal cancers: an analysis of factors predicting outcome and survival in 728 cases.
IV 期结直肠癌:728 例预测结局和生存的因素分析。
J Gastrointest Surg. 2012 Mar;16(3):603-12. doi: 10.1007/s11605-011-1725-1. Epub 2011 Oct 19.
4
Patterns of recurrence after ablation of colorectal cancer liver metastases.结直肠癌肝转移消融术后复发模式。
Ann Surg Oncol. 2012 Mar;19(3):834-41. doi: 10.1245/s10434-011-2048-x. Epub 2011 Aug 31.
5
Hepatectomy for recurrent colorectal liver metastases after radiofrequency ablation.射频消融后复发性结直肠癌肝转移的肝切除术。
Br J Surg. 2011 Jul;98(7):1003-9. doi: 10.1002/bjs.7506. Epub 2011 May 3.
6
Multicentre study of liver metastases from colorectal cancer in pathological livers.多中心研究结直肠癌肝转移的病理肝脏。
HPB (Oxford). 2011 May;13(5):320-3. doi: 10.1111/j.1477-2574.2010.00287.x. Epub 2011 Mar 10.
7
Radiofrequency ablation of colorectal hepatic metastases.结直肠肝转移的射频消融治疗。
J Surg Oncol. 2010 Dec 15;102(8):978-87. doi: 10.1002/jso.21658.
8
Long-term results of radiofrequency ablation for unresectable colorectal liver metastases: a potentially curative intervention.射频消融治疗不可切除结直肠癌肝转移的长期疗效:一种潜在的治愈性干预措施。
Br J Radiol. 2011 Jun;84(1002):556-65. doi: 10.1259/bjr/78268814. Epub 2010 Dec 15.
9
Rates and patterns of recurrence following curative intent surgery for colorectal liver metastasis: an international multi-institutional analysis of 1669 patients.结直肠癌肝转移根治性手术后的复发率及模式:一项对1669例患者的国际多机构分析
Ann Surg. 2009 Sep;250(3):440-8. doi: 10.1097/SLA.0b013e3181b4539b.
10
Long-term results of radiofrequency ablation in colorectal lung metastases: single center experience.结直肠癌肺转移灶射频消融的长期结果:单中心经验
Oncol Rep. 2009 Oct;22(4):885-91. doi: 10.3892/or_00000513.