Lai Peggy S, Hang Jing-Qing, Zhang Feng-Ying, Sun J, Zheng Bu-Yong, Su Li, Washko George R, Christiani David C
Division of Pulmonary and Critical Care, Massachusetts General Hospital, Boston, Massachusetts, USA.
Environ Health Perspect. 2016 Sep;124(9):1436-42. doi: 10.1289/EHP195. Epub 2016 May 3.
Although occupational exposures contribute to a significant proportion of obstructive lung disease, the phenotype of obstructive lung disease associated with work-related organic dust exposure independent of smoking remains poorly defined.
We identified the relative contributions of smoking and occupational endotoxin exposure to parenchymal and airway remodeling as defined by quantitative computed tomography (CT).
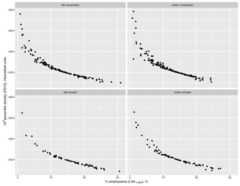
The Shanghai Textile Worker Study is a longitudinal study of endotoxin-exposed cotton workers and endotoxin-unexposed silk workers that was initiated in 1981. Spirometry, occupational endotoxin exposure, and smoking habits were assessed at 5-year intervals. High-resolution computed tomography (CT) was performed in 464 retired workers in 2011, along with quantitative lung densitometric and airway analysis.
Significant differences in all CT measures were noted across exposure groups. Occupational endotoxin exposure was associated with a decrease (-1.3%) in percent emphysema (LAAI-950), a 3.3-Hounsfield unit increase in 15th percentile density, an 18.1-g increase in lung mass, and a 2.3% increase in wall area percent. Current but not former smoking was associated with a similar CT phenotype. Changes in LAAI-950 were highly correlated with 15th percentile density (correlation -1.0). Lung mass was the only measure associated with forced expiratory volume in 1 sec (FEV1) decline, with each 10-g increase in lung mass associated with an additional loss (-6.1 mL) of FEV1 (p = 0.001) between 1981 and 2011.
There are many similarities between the effects of occupational endotoxin exposure and those of tobacco smoke exposure on lung parenchyma and airway remodeling. The effects of occupational endotoxin exposure appear to persist even after the cessation of exposure. LAAI-950 may not be a reliable indicator of emphysema in subjects without spirometric impairment. Lung mass is a CT-based biomarker of accelerated lung function decline.
Lai PS, Hang J, Zhang F, Sun J, Zheng BY, Su L, Washko GR, Christiani DC. 2016. Imaging phenotype of occupational endotoxin-related lung function decline. Environ Health Perspect 124:1436-1442; http://dx.doi.org/10.1289/EHP195.
尽管职业暴露导致了相当一部分阻塞性肺病,但与工作相关的有机粉尘暴露(与吸烟无关)所导致的阻塞性肺病的表型仍未得到很好的定义。
我们确定了吸烟和职业性内毒素暴露对定量计算机断层扫描(CT)所定义的实质和气道重塑的相对影响。
上海纺织工人研究是一项对暴露于内毒素的棉纺织工人和未暴露于内毒素的丝绸工人进行的纵向研究,始于1981年。每5年评估一次肺活量测定、职业性内毒素暴露和吸烟习惯。2011年,对464名退休工人进行了高分辨率计算机断层扫描(CT),并进行了定量肺密度测定和气道分析。
各暴露组在所有CT测量指标上均存在显著差异。职业性内毒素暴露与肺气肿百分比(LAAI-950)降低(-1.3%)、第15百分位数密度增加3.3亨氏单位、肺质量增加18.1克以及壁面积百分比增加2.3%相关。当前吸烟(而非既往吸烟)与类似的CT表型相关。LAAI-950的变化与第15百分位数密度高度相关(相关性为-1.0)。肺质量是与1秒用力呼气量(FEV1)下降相关的唯一指标,在1981年至2011年期间,肺质量每增加10克,FEV1额外损失(-6.1毫升)(p = 0.001)。
职业性内毒素暴露和烟草烟雾暴露对肺实质和气道重塑的影响有许多相似之处。即使在停止暴露后,职业性内毒素暴露的影响似乎仍然存在。在没有肺量计损伤的受试者中,LAAI-950可能不是肺气肿的可靠指标。肺质量是以CT为基础的肺功能加速下降的生物标志物。
赖PS,杭J,张F,孙J,郑BY,苏L,沃什科GR,克里斯蒂安尼DC。2016年。职业性内毒素相关肺功能下降的影像学表型。环境健康展望124:1436 - 1442;http://dx.doi.org/10.1289/EHP195 。