Suppr超能文献

利用蚯蚓堆肥衍生生物炭去除水溶液中的刚果红和亚甲基蓝

Removal of Congo Red and Methylene Blue from Aqueous Solutions by Vermicompost-Derived Biochars.

作者信息

Yang Gang, Wu Lin, Xian Qiming, Shen Fei, Wu Jun, Zhang Yanzong

机构信息

State Key Laboratory of Pollution Control and Resource Reuse, School of the Environment, Nanjing University, Nanjing, China.

Institute of Ecological and Environmental Sciences, Sichuan Agricultural University, Chengdu, China.

出版信息

PLoS One. 2016 May 4;11(5):e0154562. doi: 10.1371/journal.pone.0154562. eCollection 2016.

Abstract

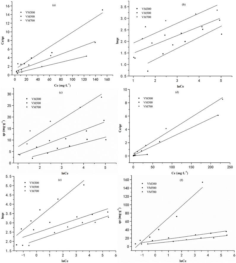
Biochars, produced by pyrolyzing vermicompost at 300, 500, and 700°C were characterized and their ability to adsorb the dyes Congo red (CR) and Methylene blue (MB) in an aqueous solution was investigated. The physical and chemical properties of biochars varied significantly based on the pyrolysis temperatures. Analysis of the data revealed that the aromaticity, polarity, specific surface area, pH, and ash content of the biochars increased gradually with the increase in pyrolysis temperature, while the cation exchange capacity, and carbon, hydrogen, nitrogen and oxygen contents decreased. The adsorption kinetics of CR and MB were described by pseudo-second-order kinetic models. Both of Langmuir and Temkin model could be employed to describe the adsorption behaviors of CR and MB by these biochars. The biochars generated at higher pyrolysis temperature displayed higher CR adsorption capacities and lower MB adsorption capacities than those compared with the biochars generated at lower pyrolysis temperatures. The biochar generated at the higher pyrolytic temperature displayed the higher ability to adsorb CR owing to its promoted aromaticity, and the cation exchange is the key factor that positively affects adsorption of MB.

摘要

通过在300、500和700°C下对蚯蚓粪进行热解制备的生物炭进行了表征,并研究了它们在水溶液中吸附刚果红(CR)和亚甲基蓝(MB)染料的能力。生物炭的物理和化学性质因热解温度而异。数据分析表明,生物炭的芳香性、极性、比表面积、pH值和灰分含量随热解温度的升高而逐渐增加,而阳离子交换容量以及碳、氢、氮和氧含量则降低。CR和MB的吸附动力学由伪二级动力学模型描述。Langmuir模型和Temkin模型均可用于描述这些生物炭对CR和MB的吸附行为。与较低热解温度下生成的生物炭相比,较高热解温度下生成的生物炭显示出更高的CR吸附容量和更低的MB吸附容量。较高热解温度下生成的生物炭由于其增强的芳香性而表现出更高的CR吸附能力,阳离子交换是对MB吸附产生积极影响的关键因素。

https://cdn.ncbi.nlm.nih.gov/pmc/blobs/a1c3/4856393/f779f8f866c2/pone.0154562.g001.jpg

文献AI研究员

20分钟写一篇综述,助力文献阅读效率提升50倍。

立即体验

用中文搜PubMed

大模型驱动的PubMed中文搜索引擎

马上搜索

文档翻译

学术文献翻译模型,支持多种主流文档格式。

立即体验