Suppr超能文献

全基因组DNA甲基化分析及与先天性主动脉瓣狭窄(AVS)相关的表观遗传变异

Genome-Wide DNA Methylation Analysis and Epigenetic Variations Associated with Congenital Aortic Valve Stenosis (AVS).

作者信息

Radhakrishna Uppala, Albayrak Samet, Alpay-Savasan Zeynep, Zeb Amna, Turkoglu Onur, Sobolewski Paul, Bahado-Singh Ray O

机构信息

Department of Obstetrics and Gynecology, Oakland University William Beaumont School of Medicine, Royal Oak, Michigan, United States of America.

Department of Obstetrics and Gynecology, Wayne State University School of Medicine, Detroit, Michigan, United States of America.

出版信息

PLoS One. 2016 May 6;11(5):e0154010. doi: 10.1371/journal.pone.0154010. eCollection 2016.

Abstract

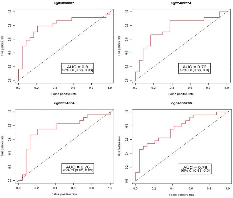
Congenital heart defect (CHD) is the most common cause of death from congenital anomaly. Among several candidate epigenetic mechanisms, DNA methylation may play an important role in the etiology of CHDs. We conducted a genome-wide DNA methylation analysis using an Illumina Infinium 450k human methylation assay in a cohort of 24 newborns who had aortic valve stenosis (AVS), with gestational-age matched controls. The study identified significantly-altered CpG methylation at 59 sites in 52 genes in AVS subjects as compared to controls (either hypermethylated or demethylated). Gene Ontology analysis identified biological processes and functions for these genes including positive regulation of receptor-mediated endocytosis. Consistent with prior clinical data, the molecular function categories as determined using DAVID identified low-density lipoprotein receptor binding, lipoprotein receptor binding and identical protein binding to be over-represented in the AVS group. A significant epigenetic change in the APOA5 and PCSK9 genes known to be involved in AVS was also observed. A large number CpG methylation sites individually demonstrated good to excellent diagnostic accuracy for the prediction of AVS status, thus raising possibility of molecular screening markers for this disorder. Using epigenetic analysis we were able to identify genes significantly involved in the pathogenesis of AVS.

摘要

先天性心脏病(CHD)是先天性异常导致死亡的最常见原因。在几种潜在的表观遗传机制中,DNA甲基化可能在CHD的病因学中起重要作用。我们使用Illumina Infinium 450k人类甲基化检测方法,对24名患有主动脉瓣狭窄(AVS)的新生儿及其孕周匹配的对照组进行了全基因组DNA甲基化分析。研究发现,与对照组相比,AVS患者中52个基因的59个位点的CpG甲基化发生了显著改变(甲基化或去甲基化)。基因本体分析确定了这些基因的生物学过程和功能,包括受体介导的内吞作用的正调控。与先前的临床数据一致,使用DAVID确定的分子功能类别表明,低密度脂蛋白受体结合、脂蛋白受体结合和相同蛋白结合在AVS组中过度表达。还观察到已知与AVS相关的APOA5和PCSK9基因发生了显著的表观遗传变化。大量的CpG甲基化位点单独对AVS状态的预测显示出良好到优异的诊断准确性,从而提高了该疾病分子筛查标志物的可能性。通过表观遗传分析,我们能够确定与AVS发病机制密切相关的基因。

https://cdn.ncbi.nlm.nih.gov/pmc/blobs/bd47/4859473/ca1d670e1368/pone.0154010.g001.jpg

文献AI研究员

20分钟写一篇综述,助力文献阅读效率提升50倍。

立即体验

用中文搜PubMed

大模型驱动的PubMed中文搜索引擎

马上搜索

文档翻译

学术文献翻译模型,支持多种主流文档格式。

立即体验