Suppr超能文献

智利儿童和青少年肥胖分类中体重指数临界值的准确性。

Accuracy of Body Mass Index Cutoffs for Classifying Obesity in Chilean Children and Adolescents.

作者信息

Gómez-Campos Rossana, David Langer Raquel, de Fátima Guimarães Roseane, Contiero San Martini Mariana, Cossio-Bolaños Marco, de Arruda Miguel, Guerra-Júnior Gil, Moreira Gonçalves Ezequiel

机构信息

Instituto de Actividad Física y Salud, Universidad Autonoma de Chile, 5 Poniente 1670, Talca, Chile.

Faculty of Physical Education, State University of Campinas, Avenida Érico Veríssimo, 701, Cidade Universitária Zeferino Vaz, Barão Geraldo, CEP 13083-851, Campinas, Brazil.

出版信息

Int J Environ Res Public Health. 2016 May 5;13(5):472. doi: 10.3390/ijerph13050472.

Abstract

OBJECTIVE

To determine the accuracy of two international Body Mass Index (BMI) cut-offs for classifying obesity compared to the percentage of fat mass (%FM) assessed by Dual-Energy X-ray Absorptiometry (DXA) in a Chilean sample of children and adolescents;

MATERIAL AND METHODS

The subjects studied included 280 children and adolescents (125 girls and 155 boys) aged 8 to 17 years. Weight and height were measured. The BMI was calculated. Two international references (IOFT and WHO) were used as cut-off points. The %FM was assessed by DXA. The receiver operating characteristic (ROC) curve was used to assess the performance of BMI in detecting obesity on the basis of %FM;

RESULTS

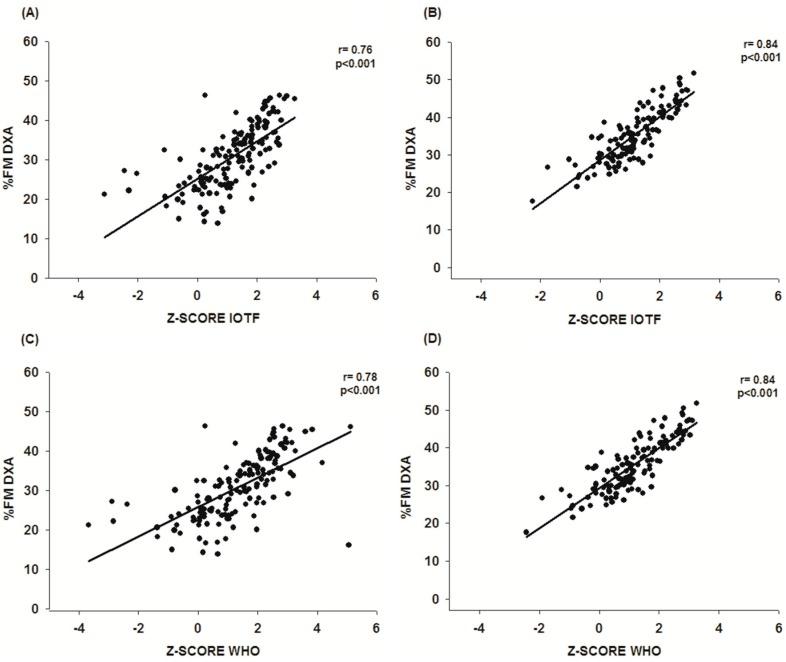
A high correlation was observed between the %FM measured by the DXA and the Z-scores of IOTF and WHO scores in the Chilean adolescents separated by sex (r = 0.78-0.80). Differences occurred in both references (IOFT and WHO) in relation to the criteria (p < 0.001). Both references demonstrated a good ability to predict sensitivity (between 84% and 93%) and specificity (between 83% and 88%) in both sexes of children and adolescents;

CONCLUSIONS

A high correlation was observed between the Z-score of the BMI with the percentage of fat determined by the DXA. Despite this, the classifications using the different BMI cut-off points showed discrepancies. This suggests that the cut-off points selected to predict obesity in this sample should be viewed with caution.

摘要

目的

在智利儿童和青少年样本中,确定与双能X线吸收法(DXA)评估的体脂百分比(%FM)相比,两种国际体重指数(BMI)临界值对肥胖分类的准确性;

材料与方法

研究对象包括280名8至17岁的儿童和青少年(125名女孩和155名男孩)。测量体重和身高,计算BMI。使用两个国际参考标准(国际肥胖工作组(IOFT)和世界卫生组织(WHO))作为临界值。通过DXA评估%FM。采用受试者工作特征(ROC)曲线评估基于%FM的BMI检测肥胖的性能;

结果

在按性别划分的智利青少年中,DXA测量的%FM与IOFT和WHO评分的Z分数之间观察到高度相关性(r = 0.78 - 0.80)。两个参考标准(IOFT和WHO)在标准方面均存在差异(p < 0.001)。两个参考标准在儿童和青少年的两性中均表现出良好的预测敏感性(84%至93%)和特异性(83%至88%)的能力;

结论

观察到BMI的Z分数与DXA测定的脂肪百分比之间存在高度相关性。尽管如此,使用不同BMI临界值的分类存在差异。这表明在该样本中用于预测肥胖的临界值应谨慎看待。

https://cdn.ncbi.nlm.nih.gov/pmc/blobs/93a8/4881097/8654ac1c2c1f/ijerph-13-00472-g001.jpg

文献AI研究员

20分钟写一篇综述,助力文献阅读效率提升50倍。

立即体验

用中文搜PubMed

大模型驱动的PubMed中文搜索引擎

马上搜索

文档翻译

学术文献翻译模型,支持多种主流文档格式。

立即体验