Department of Microbiology, School of Medicine, Prince of Songkla University, Hadyai, Songkla 90110, Thailand.
Faculty of Allied Health Sciences, Burapha University, Bangsaen, Chonburi 20131, Thailand.
Vaccines (Basel). 2016 May 5;4(2):15. doi: 10.3390/vaccines4020015.
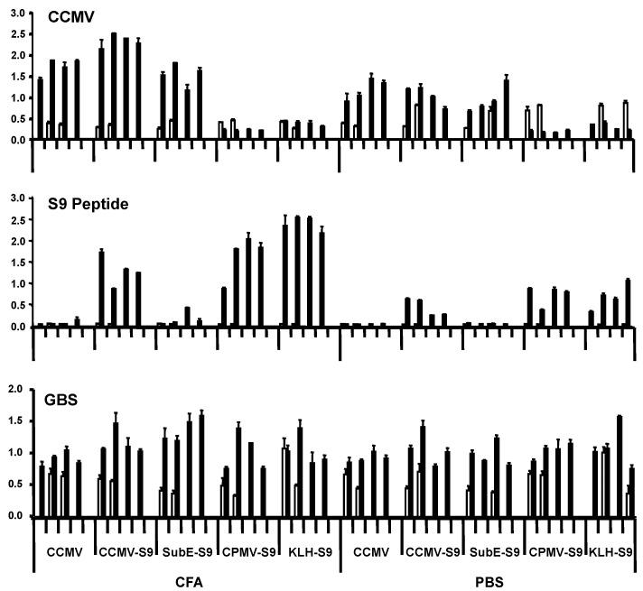
We have conjugated the S9 peptide, a mimic of the group B streptococcal type III capsular polysaccharide, to different carriers in an effort to elicit an optimal immune response. As carriers, we utilized the soluble protein keyhole limpet hemocyanin and virus-like particles (VLPs) from two plant viruses, Cowpea Chlorotic Mottle Virus and Cowpea Mosaic Virus. We have found that coupling the peptide to the soluble protein elicits a Th2 immune response, as evidenced by the production of the peptide-specific IgG1 antibody and IL-4/IL-10 production in response to antigen stimulation, whereas the peptide conjugated to VLPs elicited a Th1 response (IgG2a, IFN-γ). Because the VLPs used as carriers package RNA during the assembly process, we hypothesize that this effect may result from the presence of nucleic acid in the immunogen, which affects the Th1/Th2 polarity of the response.
我们将 B 族链球菌 III 型荚膜多糖的模拟肽 S9 与不同载体连接,以引发最佳的免疫反应。作为载体,我们利用了两种植物病毒——豇豆花叶病毒和豇豆花叶病毒的可溶性蛋白血蓝蛋白和病毒样颗粒 (VLPs)。我们发现,将肽与可溶性蛋白偶联会引发 Th2 免疫反应,这可以通过针对抗原刺激产生的肽特异性 IgG1 抗体和 IL-4/IL-10 的产生来证明,而与 VLPs 偶联的肽则会引发 Th1 反应(IgG2a、IFN-γ)。因为用作载体的 VLPs 在组装过程中包装 RNA,我们假设这种效应可能是由于免疫原中存在核酸,从而影响了反应的 Th1/Th2 极性。