Suppr超能文献

林下草本层对亚热带人工林土壤微生物群落具有强烈的调控作用。

Understory herb layer exerts strong controls on soil microbial communities in subtropical plantations.

作者信息

Yin Kai, Zhang Lei, Chen Dima, Tian Yichen, Zhang Feifei, Wen Meiping, Yuan Chao

机构信息

Institute of Remote Sensing and Digital Earth, Chinese Academy of Sciences, Beijing 100101, China.

State Key Laboratory of Vegetation and Environmental Change, Institute of Botany, Chinese Academy of Sciences, Beijing 100093, China.

出版信息

Sci Rep. 2016 May 31;6:27066. doi: 10.1038/srep27066.

Abstract

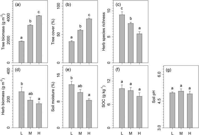
The patterns and drivers of soil microbial communities in forest plantations remain inadequate although they have been extensively studied in natural forest and grassland ecosystems. In this study, using data from 12 subtropical plantation sites, we found that the overstory tree biomass and tree cover increased with increasing plantation age. However, there was a decline in the aboveground biomass and species richness of the understory herbs as plantation age increased. Biomass of all microbial community groups (i.e. fungi, bacteria, arbuscular mycorrhizal fungi, and actinomycete) decreased with increasing plantation age; however, the biomass ratio of fungi to bacteria did not change with increasing plantation age. Variation in most microbial community groups was mainly explained by the understory herb (i.e. herb biomass and herb species richness) and overstory trees (i.e. tree biomass and tree cover), while soils (i.e. soil moisture, soil organic carbon, and soil pH) explained a relative low percentage of the variation. Our results demonstrate that the understory herb layer exerts strong controls on soil microbial community in subtropical plantations. These findings suggest that maintenance of plantation health may need to consider the management of understory herb in order to increase the potential of plantation ecosystems as fast-response carbon sinks.

摘要

尽管在天然森林和草原生态系统中对土壤微生物群落的模式和驱动因素进行了广泛研究,但人工林中土壤微生物群落的相关研究仍显不足。在本研究中,利用来自12个亚热带人工林站点的数据,我们发现上层树木生物量和树冠覆盖率随人工林年龄的增加而增加。然而,随着人工林年龄的增加,林下草本植物的地上生物量和物种丰富度却有所下降。所有微生物群落组(即真菌、细菌、丛枝菌根真菌和放线菌)的生物量均随人工林年龄的增加而降低;然而,真菌与细菌的生物量比值并未随人工林年龄的增加而改变。大多数微生物群落组的变异主要由林下草本植物(即草本生物量和草本物种丰富度)和上层树木(即树木生物量和树冠覆盖率)解释,而土壤(即土壤湿度、土壤有机碳和土壤pH值)对变异的解释比例相对较低。我们的结果表明,林下草本层对亚热带人工林中的土壤微生物群落具有强烈的控制作用。这些发现表明,为了提高人工林生态系统作为快速响应碳汇的潜力,维持人工林健康可能需要考虑对林下草本植物的管理。

https://cdn.ncbi.nlm.nih.gov/pmc/blobs/2e66/4886681/9eaeaf5f8a15/srep27066-f1.jpg

文献AI研究员

20分钟写一篇综述,助力文献阅读效率提升50倍。

立即体验

用中文搜PubMed

大模型驱动的PubMed中文搜索引擎

马上搜索

文档翻译

学术文献翻译模型,支持多种主流文档格式。

立即体验