Suppr超能文献

生理应激的测量:是洞察物种状态、管理和保护情况的透明窗口还是不透明窗口?

Measures of physiological stress: a transparent or opaque window into the status, management and conservation of species?

作者信息

Dantzer Ben, Fletcher Quinn E, Boonstra Rudy, Sheriff Michael J

机构信息

Department of Zoology, University of Cambridge, Downing Street, Cambridge CB2 3EJ, UK; Department of Psychology, University of Michigan, Ann Arbor, MI 48109, USA.

Département de biologie, chimie et geographie, Université du Québec á Rimouski, Rimouski, QC, Canada G5L 3A1.

出版信息

Conserv Physiol. 2014 Jun 27;2(1):cou023. doi: 10.1093/conphys/cou023. eCollection 2014.

Abstract

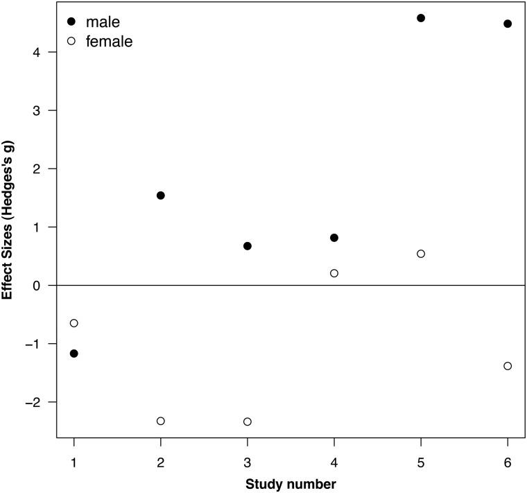
Conservation physiology proposes that measures of physiological stress (glucocorticoid levels) can be used to assess the status and future fate of natural populations. Increases in glucocorticoids may reflect a more challenging environment, suggesting that the influence of human activities on free-living animals could be quantified by measuring glucocorticoids. Biomedical studies suggest that chronic increases in glucocorticoids can have detrimental effects on survival and reproduction, which could influence the viability of populations. Here, we discuss the use of measurements of glucocorticoids in conservation physiology. We first provide an overview of the different methods to quantify glucocorticoids and their utility in conservation physiology. We then discuss five questions we think are essential for conservation physiologists to address. We highlight how intrinsic (e.g. sex, reproductive status, age, recent experiences) and ecological factors (e.g. predation, food availability, snowfall) can, by themselves or through their interactions with anthropogenic disturbances, affect the physiological stress response and mask any general patterns about the effects of anthropogenic disturbances on glucocorticoids. Using a meta-analysis, we show that anthropogenic disturbances are consistently associated with increased glucocorticoids regardless of the type of human disturbance. We also show that males may be more sensitive to anthropogenic disturbances than females and that faecal glucocorticoids, but not baseline plasma glucocorticoids, consistently increase in response to anthropogenic disturbances. Finally, we discuss how increases in glucocorticoids in free-living animals can sometimes enhance survival and reproduction. Unfortunately, our literature analysis indicates that this observation has not yet gained traction, and very few studies have shown that increases in glucocorticoid levels resulting from anthropogenic disturbances decrease survival or reproduction. We think that the use of measures of glucocorticoids in conservation physiology has tremendous potential, but there are still a number of methodological concerns, in addition to several crucial questions that should be addressed.

摘要

保护生理学提出,生理应激指标(糖皮质激素水平)可用于评估自然种群的现状和未来命运。糖皮质激素水平升高可能反映环境更具挑战性,这表明通过测量糖皮质激素可量化人类活动对野生动物的影响。生物医学研究表明,糖皮质激素长期升高会对生存和繁殖产生不利影响,进而可能影响种群的生存能力。在此,我们讨论保护生理学中糖皮质激素测量的应用。我们首先概述量化糖皮质激素的不同方法及其在保护生理学中的作用。然后我们讨论五个我们认为保护生理学家必须解决的问题。我们强调内在因素(如性别、生殖状态、年龄、近期经历)和生态因素(如捕食、食物可获得性、降雪)如何单独或通过与人为干扰的相互作用,影响生理应激反应并掩盖关于人为干扰对糖皮质激素影响的任何一般模式。通过荟萃分析,我们表明无论人为干扰的类型如何,其都与糖皮质激素升高持续相关。我们还表明,雄性可能比雌性对人为干扰更敏感,并且粪便中的糖皮质激素而非基线血浆糖皮质激素会因人为干扰而持续升高。最后,我们讨论野生动物体内糖皮质激素升高有时如何提高生存和繁殖能力。不幸的是,我们的文献分析表明这一观察结果尚未得到广泛认可,而且很少有研究表明人为干扰导致的糖皮质激素水平升高会降低生存或繁殖能力。我们认为在保护生理学中使用糖皮质激素测量具有巨大潜力,但除了一些关键问题需要解决外,仍存在一些方法学上的问题。

https://cdn.ncbi.nlm.nih.gov/pmc/blobs/a55b/4732472/5143d7bc6642/cou02301.jpg

文献AI研究员

20分钟写一篇综述,助力文献阅读效率提升50倍。

立即体验

用中文搜PubMed

大模型驱动的PubMed中文搜索引擎

马上搜索

文档翻译

学术文献翻译模型,支持多种主流文档格式。

立即体验