Suppr超能文献

吸入性类固醇对急性细支气管炎后复发性喘息的影响:对748例患者的系统评价和荟萃分析

The Effects of Inhaled Steroids on Recurrent Wheeze After Acute Bronchiolitis: A Systematic Review and Meta-Analysis of 748 Patients.

作者信息

Green Patricia, Aronoff Stephen C, DelVecchio Michael

机构信息

New York-Presbyterian Hospital, Weill Cornell Medical College, New York, NY, USA.

Temple University School of Medicine, Philadelphia, PA, USA.

出版信息

Glob Pediatr Health. 2015 Jul 16;2:2333794X15595964. doi: 10.1177/2333794X15595964. eCollection 2015.

Abstract

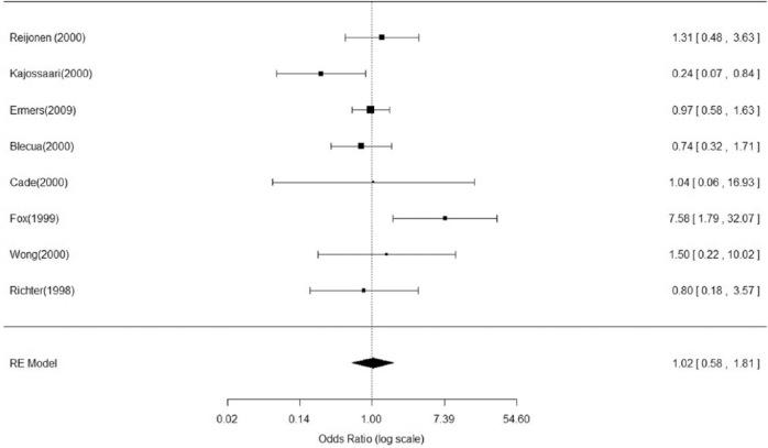
Background. Acute bronchiolitis infection during infancy is associated with an increased risk of asthma later in life. The objective of this study was to determine if inhaled steroids are effective in preventing the development of recurrent wheeze or asthma following acute bronchiolitis. Methods. Multiple databases and bibliographies of selected references were searched. Inclusion required (a) a randomized controlled trial of inhaled steroids and control group, (b) at least 2 weeks duration of therapy started during the acute phase of disease, and (c) identification of the rate of recurrent wheeze or asthma at least 6 months after therapy. Results. Of 1410 studies reviewed, 8 reports were included in this meta-analysis (748 patients). The overall odds ratio for developing recurrent wheeze or asthma with treatment versus without treatment was 1.02 (95% confidence interval = 0.58-1.81). Conclusions. A course of inhaled steroids after acute bronchiolitis is not effective in preventing recurrent wheeze or asthma.

摘要

背景。婴儿期急性细支气管炎感染与日后患哮喘的风险增加有关。本研究的目的是确定吸入性类固醇在预防急性细支气管炎后复发性喘息或哮喘的发生方面是否有效。方法。检索了多个数据库和选定参考文献的书目。纳入标准要求:(a)吸入性类固醇与对照组的随机对照试验;(b)在疾病急性期开始至少2周的治疗;(c)确定治疗后至少6个月的复发性喘息或哮喘发生率。结果。在审查的1410项研究中,本荟萃分析纳入了8篇报告(748例患者)。接受治疗与未接受治疗相比,发生复发性喘息或哮喘的总体优势比为1.02(95%置信区间 = 0.58 - 1.81)。结论。急性细支气管炎后吸入性类固醇疗程在预防复发性喘息或哮喘方面无效。

https://cdn.ncbi.nlm.nih.gov/pmc/blobs/ffc1/4784589/9cf7fcf755bc/10.1177_2333794X15595964-fig1.jpg

文献AI研究员

20分钟写一篇综述,助力文献阅读效率提升50倍。

立即体验

用中文搜PubMed

大模型驱动的PubMed中文搜索引擎

马上搜索

文档翻译

学术文献翻译模型,支持多种主流文档格式。

立即体验