• 文献检索
  • 文档翻译
  • 深度研究
  • 学术资讯
  • Suppr Zotero 插件Zotero 插件
  • 邀请有礼
  • 套餐&价格
  • 历史记录
应用&插件
Suppr Zotero 插件Zotero 插件浏览器插件Mac 客户端Windows 客户端微信小程序
定价
高级版会员购买积分包购买API积分包
服务
文献检索文档翻译深度研究API 文档MCP 服务
关于我们
关于 Suppr公司介绍联系我们用户协议隐私条款
关注我们

Suppr 超能文献

核心技术专利:CN118964589B侵权必究
粤ICP备2023148730 号-1Suppr @ 2026

文献检索

告别复杂PubMed语法,用中文像聊天一样搜索,搜遍4000万医学文献。AI智能推荐,让科研检索更轻松。

立即免费搜索

文件翻译

保留排版,准确专业,支持PDF/Word/PPT等文件格式,支持 12+语言互译。

免费翻译文档

深度研究

AI帮你快速写综述,25分钟生成高质量综述,智能提取关键信息,辅助科研写作。

立即免费体验

黄花稔和长春花对自身污染的生化及超微结构变化

Biochemical and Ultrastructural Changes in Sida cordifolia L. and Catharanthus roseus L. to Auto Pollution.

作者信息

Verma Vijeta, Chandra Neelam

机构信息

Department of Botany, University of Lucknow, Lucknow 226007, India.

出版信息

Int Sch Res Notices. 2014 Oct 30;2014:263092. doi: 10.1155/2014/263092. eCollection 2014.

DOI:10.1155/2014/263092
PMID:27355010
原文链接:https://pmc.ncbi.nlm.nih.gov/articles/PMC4897458/
Abstract

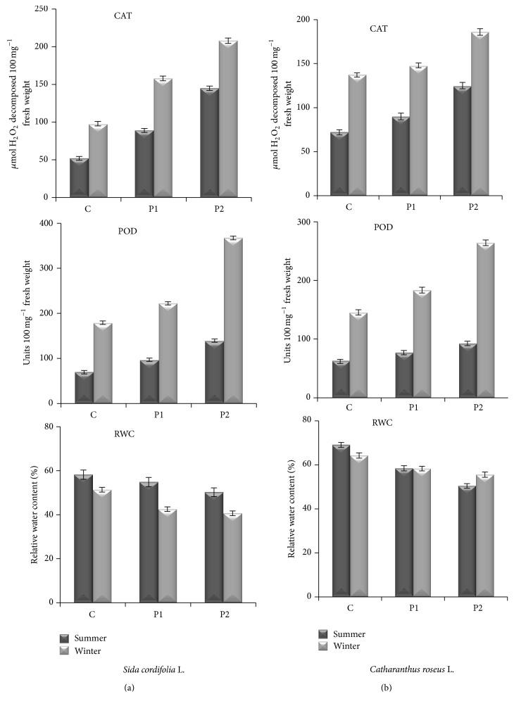
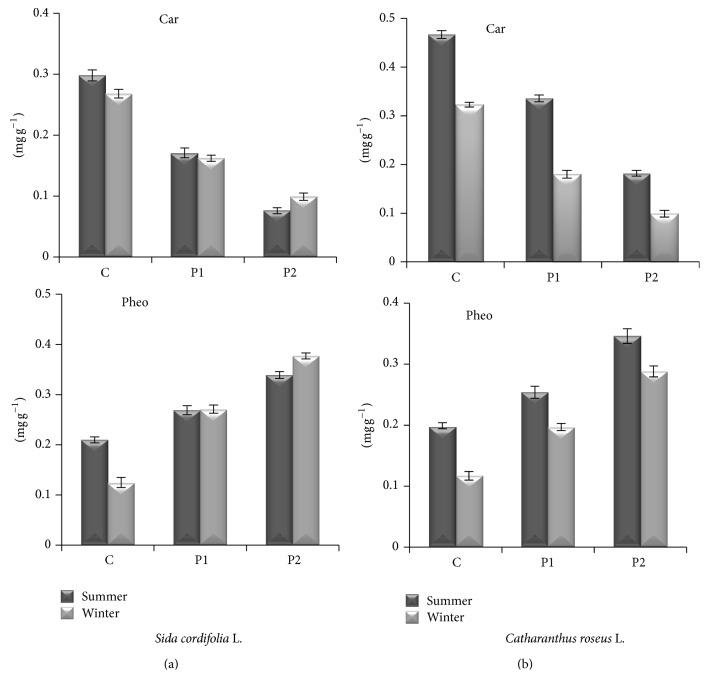
Auto pollution is the by-product of our mechanized mobility, which adversely affects both plant and human life. However, plants growing in the urban locations provide a great respite to us from the brunt of auto pollution by absorbing the pollutants at their foliar surface. Foliar surface configuration and biochemical changes in plant species, namely, Sida cordifolia L. and Catharanthus roseus L. grown at roadside (polluted site 1, Talkatora; polluted site 2, Charbagh) in Lucknow city and in the garden of the university campus, which has been taken as reference site, were investigated. It was observed that air pollution caused by auto exhaust showed marked alterations in photosynthetic pigments (chlorophyll, carotenoid, and phaeophytin), and relative water content was reduced while antioxidative enzymes like catalase and peroxidase were found to be enhanced. The changes in the foliar configuration reveal marked alteration in epidermal traits, with decreased number of stomata, stomatal indices, and epidermal cells per unit area, while length and breadth of stomata and epidermal cells were found to be increased in leaves samples wich can be used as biomarkers of auto pollution.

摘要

汽车污染是我们机械化出行的副产品,它对植物和人类生活都会产生不利影响。然而,生长在城市地区的植物通过在叶表面吸收污染物,为我们缓解了汽车污染的冲击。研究了生长在勒克瑙市路边(污染地点1,Talkatora;污染地点2,Charbagh)以及大学校园花园(作为参考地点)的两种植物,即黄花稔和长春花的叶表面形态和生化变化。观察到汽车尾气造成的空气污染使光合色素(叶绿素、类胡萝卜素和脱镁叶绿素)发生显著变化,相对含水量降低,而过氧化氢酶和过氧化物酶等抗氧化酶则增强。叶形态的变化显示出表皮特征的显著改变,单位面积的气孔数量、气孔指数和表皮细胞数量减少,而气孔和表皮细胞的长度和宽度在叶片样本中增加,这些可作为汽车污染的生物标志物。

https://cdn.ncbi.nlm.nih.gov/pmc/blobs/0d9b/4897458/0073fbd10369/ISRN2014-263092.006.jpg
https://cdn.ncbi.nlm.nih.gov/pmc/blobs/0d9b/4897458/4934c564ce98/ISRN2014-263092.001.jpg
https://cdn.ncbi.nlm.nih.gov/pmc/blobs/0d9b/4897458/d3802436d2ca/ISRN2014-263092.002.jpg
https://cdn.ncbi.nlm.nih.gov/pmc/blobs/0d9b/4897458/44f70d07f919/ISRN2014-263092.003.jpg
https://cdn.ncbi.nlm.nih.gov/pmc/blobs/0d9b/4897458/76bd30b1be44/ISRN2014-263092.004.jpg
https://cdn.ncbi.nlm.nih.gov/pmc/blobs/0d9b/4897458/18e754ae8899/ISRN2014-263092.005.jpg
https://cdn.ncbi.nlm.nih.gov/pmc/blobs/0d9b/4897458/0073fbd10369/ISRN2014-263092.006.jpg
https://cdn.ncbi.nlm.nih.gov/pmc/blobs/0d9b/4897458/4934c564ce98/ISRN2014-263092.001.jpg
https://cdn.ncbi.nlm.nih.gov/pmc/blobs/0d9b/4897458/d3802436d2ca/ISRN2014-263092.002.jpg
https://cdn.ncbi.nlm.nih.gov/pmc/blobs/0d9b/4897458/44f70d07f919/ISRN2014-263092.003.jpg
https://cdn.ncbi.nlm.nih.gov/pmc/blobs/0d9b/4897458/76bd30b1be44/ISRN2014-263092.004.jpg
https://cdn.ncbi.nlm.nih.gov/pmc/blobs/0d9b/4897458/18e754ae8899/ISRN2014-263092.005.jpg
https://cdn.ncbi.nlm.nih.gov/pmc/blobs/0d9b/4897458/0073fbd10369/ISRN2014-263092.006.jpg

相似文献

1
Biochemical and Ultrastructural Changes in Sida cordifolia L. and Catharanthus roseus L. to Auto Pollution.黄花稔和长春花对自身污染的生化及超微结构变化
Int Sch Res Notices. 2014 Oct 30;2014:263092. doi: 10.1155/2014/263092. eCollection 2014.
2
Biochemical and ultrastructural changes in plant foliage exposed to auto-pollution.暴露于自身污染下的植物叶片的生化及超微结构变化。
Environ Monit Assess. 2006 Sep;120(1-3):585-602. doi: 10.1007/s10661-005-9105-5. Epub 2006 Jun 7.
3
Olive plants (Olea europaea L.) as a bioindicator for pollution.油橄榄植株(油橄榄)作为污染的生物指示物。
Pak J Biol Sci. 2013 Jun 15;16(12):551-7. doi: 10.3923/pjbs.2013.551.557.
4
Sensitivity analyses of woody species exposed to air pollution based on ecophysiological measurements.基于生态生理学测量的木本植物暴露于空气污染的敏感性分析。
Environ Sci Pollut Res Int. 2004;11(3):165-70. doi: 10.1007/BF02979671.
5
Ecophysiological evaluation of tree species for biomonitoring of air quality and identification of air pollution-tolerant species.用于空气质量生物监测和耐空气污染树种鉴定的树种生理生态学评价
Environ Monit Assess. 2017 Jun;189(6):262. doi: 10.1007/s10661-017-5955-x. Epub 2017 May 10.
6
Biomonitoring of air pollution using antioxidative enzyme system in two genera of family Pottiaceae (Bryophyta).
Environ Pollut. 2016 Sep;216:512-518. doi: 10.1016/j.envpol.2016.06.003. Epub 2016 Jun 16.
7
Salicylic acid restrains nickel toxicity, improves antioxidant defence system and enhances the production of anticancer alkaloids in Catharanthus roseus (L.).水杨酸抑制镍毒性,改善抗氧化防御系统,并提高长春花(Catharanthus roseus(L.))中抗癌生物碱的产量。
J Hazard Mater. 2013 May 15;252-253:367-74. doi: 10.1016/j.jhazmat.2013.03.005. Epub 2013 Mar 14.
8
Effects of coal-smoke pollutants from different sources on the growth, chlorophyll content, stem anatomy and cuticular traits of Euphorbia hirta L.不同来源的煤烟污染物对铁苋菜生长、叶绿素含量、茎解剖结构和表皮特征的影响
Environ Pollut. 1987;47(3):221-9. doi: 10.1016/0269-7491(87)90212-0.
9
Growth and photosynthetic pigments responses of two varieties of Catharanthus roseus to triadimefon treatment.两种长春花品种对三唑酮处理的生长及光合色素响应
C R Biol. 2008 Apr;331(4):272-7. doi: 10.1016/j.crvi.2008.01.004. Epub 2008 Mar 4.
10
Impact assessment of leaf pigments in selected landscape plants exposed to roadside dust.受道路灰尘影响的选定景观植物叶片色素的影响评估。
Environ Sci Pollut Res Int. 2018 Aug;25(23):23055-23073. doi: 10.1007/s11356-018-2309-3. Epub 2018 Jun 2.

本文引用的文献

1
Monitoring of auto exhaust pollution by roadside plants.路边植物对汽车尾气污染的监测。
Environ Monit Assess. 1995 Jan;34(1):13-25. doi: 10.1007/BF00546243.
2
Effect of ambient air sulphur dioxide on sulphate accumulation in plants.环境空气中二氧化硫对植物中硫酸盐积累的影响。
J Environ Biol. 2008 May;29(3):377-9.
3
Biochemical parameters of plants as indicators of air pollution.植物的生化参数作为空气污染的指标
J Environ Biol. 2007 Jan;28(1):127-32.
4
Biological monitoring of roadside plants exposed to vehicular pollution in Jalgaon city.贾尔冈市路边受车辆污染影响的植物的生物监测。
J Environ Biol. 2006 May;27(2 Suppl):419-21.
5
Metabolic bases for differences in sensitivity of two pea cultivars to sulfur dioxide.两个豌豆品种对二氧化硫敏感性差异的代谢基础
Plant Physiol. 1991 Sep;97(1):88-93. doi: 10.1104/pp.97.1.88.
6
Urban woodlands: their role in reducing the effects of particulate pollution.城市林地:它们在减轻颗粒物污染影响方面的作用。
Environ Pollut. 1998;99(3):347-60. doi: 10.1016/s0269-7491(98)00016-5.
7
The electrical conductivity of Norway spruce needle diffusate as affected by certain air pollutants.某些空气污染物对挪威云杉针叶渗出液电导率的影响
Tree Physiol. 1986 Jun;1(1):85-94. doi: 10.1093/treephys/1.1.85.
8
The use of passive sampling to monitor forest exposure to O3, NO2 and SO2: a review and some case studies.利用被动采样监测森林对臭氧、二氧化氮和二氧化硫的暴露:综述及一些案例研究。
Environ Pollut. 2003;126(3):301-11. doi: 10.1016/s0269-7491(03)00243-4.
9
Foliar biochemical features of plants as indicators of air pollution.
Bull Environ Contam Toxicol. 2001 Jul;67(1):133-40. doi: 10.1007/s001280101.
10
Plant carotenoids: pigments for photoprotection, visual attraction, and human health.植物类胡萝卜素:用于光保护、视觉吸引及人类健康的色素。
Plant Cell. 1995 Jul;7(7):1027-38. doi: 10.1105/tpc.7.7.1027.