• 文献检索
  • 文档翻译
  • 深度研究
  • 学术资讯
  • Suppr Zotero 插件Zotero 插件
  • 邀请有礼
  • 套餐&价格
  • 历史记录
应用&插件
Suppr Zotero 插件Zotero 插件浏览器插件Mac 客户端Windows 客户端微信小程序
定价
高级版会员购买积分包购买API积分包
服务
文献检索文档翻译深度研究API 文档MCP 服务
关于我们
关于 Suppr公司介绍联系我们用户协议隐私条款
关注我们

Suppr 超能文献

核心技术专利:CN118964589B侵权必究
粤ICP备2023148730 号-1Suppr @ 2026

文献检索

告别复杂PubMed语法,用中文像聊天一样搜索,搜遍4000万医学文献。AI智能推荐,让科研检索更轻松。

立即免费搜索

文件翻译

保留排版,准确专业,支持PDF/Word/PPT等文件格式,支持 12+语言互译。

免费翻译文档

深度研究

AI帮你快速写综述,25分钟生成高质量综述,智能提取关键信息,辅助科研写作。

立即免费体验

新型四氢-β-咔啉乙内酰脲和四氢-β-咔啉硫代乙内酰脲衍生物作为磷酸二酯酶5抑制剂的合成、分子建模及生物学评价

Synthesis, Molecular Modeling, and Biological Evaluation of Novel Tetrahydro-β-Carboline Hydantoin and Tetrahydro-β-Carboline Thiohydantoin Derivatives as Phosphodiesterase 5 Inhibitors.

作者信息

Abadi Ashraf H, Lehmann Jochen, Piazza Gary A, Abdel-Halim Mohammad, Ali Mohamed S M

机构信息

Department of Pharmaceutical Chemistry, Faculty of Pharmacy and Biotechnology, German University in Cairo, Cairo 11835, Egypt.

Institute of Pharmacy, Department of Pharmaceutical/Medicinal Chemistry, Friedrich-Schiller University, Philosophenweg 14, 07743 Jena, Germany.

出版信息

Int J Med Chem. 2011;2011:562421. doi: 10.1155/2011/562421. Epub 2011 Feb 23.

DOI:10.1155/2011/562421
PMID:27471602
原文链接:https://pmc.ncbi.nlm.nih.gov/articles/PMC4939265/
Abstract

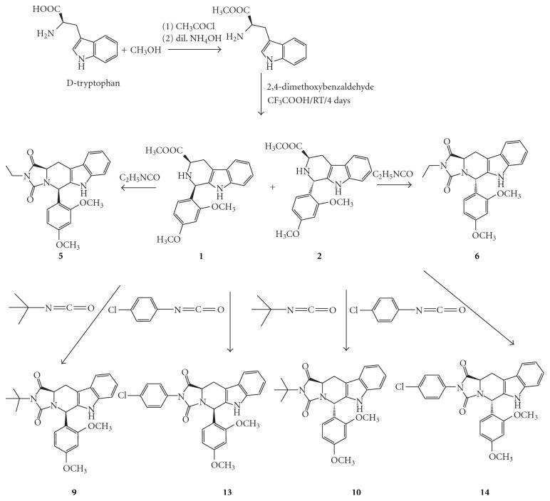
Two series of fused tetrahydro-β-carboline hydantoin and tetrahydro-β-carboline thiohydantoin derivatives with a pendant 2,4-dimethoxyphenyl at position 5 were synthesized, and chiral carbons at positions 5 and 11a swing from R,R to R,S, S,R, and S,S. The prepared analogues were evaluated for their capacity to inhibit phosphodiesterase 5 (PDE5) isozyme. The R absolute configuration of C-5 in the β-carboline hydantoin derivatives was found to be essential for the PDE5 inhibition. Chiral carbon derived from amino acid even if of the S configuration (L-tryptophan) may lead to equiactive or more active isomers than those derived from amino acid with the R configuration (D-tryptophan). This expands the horizon from which efficient PDE5 inhibitors can be derived and may offer an economic advantage. The thiohydantoin derivatives were less active than their hydantoin congeners.

摘要

合成了两个系列在5位带有2,4 - 二甲氧基苯基侧链的稠合四氢-β-咔啉乙内酰脲和四氢-β-咔啉硫代乙内酰脲衍生物,5位和11a位的手性碳从R,R构型转变为R,S、S,R和S,S构型。对所制备的类似物进行了抑制磷酸二酯酶5(PDE5)同工酶能力的评估。发现β-咔啉乙内酰脲衍生物中C-5的R绝对构型对于PDE5抑制至关重要。即使是S构型(L-色氨酸)的氨基酸衍生的手性碳,也可能产生与R构型(D-色氨酸)的氨基酸衍生的异构体同等活性或活性更高的异构体。这拓宽了可从中获得有效PDE5抑制剂的视野,并且可能具有经济优势。硫代乙内酰脲衍生物的活性低于其乙内酰脲同类物。

https://cdn.ncbi.nlm.nih.gov/pmc/blobs/0545/4939265/ef116519c77a/IJMC2011-562421.002.jpg
https://cdn.ncbi.nlm.nih.gov/pmc/blobs/0545/4939265/d590225107ba/IJMC2011-562421.sch.001.jpg
https://cdn.ncbi.nlm.nih.gov/pmc/blobs/0545/4939265/7a6af060de45/IJMC2011-562421.sch.002.jpg
https://cdn.ncbi.nlm.nih.gov/pmc/blobs/0545/4939265/a8899d45dab1/IJMC2011-562421.sch.003.jpg
https://cdn.ncbi.nlm.nih.gov/pmc/blobs/0545/4939265/4622c8bab34f/IJMC2011-562421.sch.004.jpg
https://cdn.ncbi.nlm.nih.gov/pmc/blobs/0545/4939265/24ec7826ee68/IJMC2011-562421.001.jpg
https://cdn.ncbi.nlm.nih.gov/pmc/blobs/0545/4939265/ef116519c77a/IJMC2011-562421.002.jpg
https://cdn.ncbi.nlm.nih.gov/pmc/blobs/0545/4939265/d590225107ba/IJMC2011-562421.sch.001.jpg
https://cdn.ncbi.nlm.nih.gov/pmc/blobs/0545/4939265/7a6af060de45/IJMC2011-562421.sch.002.jpg
https://cdn.ncbi.nlm.nih.gov/pmc/blobs/0545/4939265/a8899d45dab1/IJMC2011-562421.sch.003.jpg
https://cdn.ncbi.nlm.nih.gov/pmc/blobs/0545/4939265/4622c8bab34f/IJMC2011-562421.sch.004.jpg
https://cdn.ncbi.nlm.nih.gov/pmc/blobs/0545/4939265/24ec7826ee68/IJMC2011-562421.001.jpg
https://cdn.ncbi.nlm.nih.gov/pmc/blobs/0545/4939265/ef116519c77a/IJMC2011-562421.002.jpg

相似文献

1
Synthesis, Molecular Modeling, and Biological Evaluation of Novel Tetrahydro-β-Carboline Hydantoin and Tetrahydro-β-Carboline Thiohydantoin Derivatives as Phosphodiesterase 5 Inhibitors.新型四氢-β-咔啉乙内酰脲和四氢-β-咔啉硫代乙内酰脲衍生物作为磷酸二酯酶5抑制剂的合成、分子建模及生物学评价
Int J Med Chem. 2011;2011:562421. doi: 10.1155/2011/562421. Epub 2011 Feb 23.
2
Synthesis, molecular modeling and biological evaluation of novel tadalafil analogues as phosphodiesterase 5 and colon tumor cell growth inhibitors, new stereochemical perspective.新型他达拉非类似物作为磷酸二酯酶 5 和结肠肿瘤细胞生长抑制剂的合成、分子建模和生物学评价,新的立体化学视角。
Eur J Med Chem. 2010 Apr;45(4):1278-86. doi: 10.1016/j.ejmech.2009.10.046.
3
Design of novel β-carboline derivatives with pendant 5-bromothienyl and their evaluation as phosphodiesterase-5 inhibitors.新型带有侧链 5-溴噻吩基的β-咔啉衍生物的设计及其作为磷酸二酯酶-5 抑制剂的评价。
Arch Pharm (Weinheim). 2013 Jan;346(1):23-33. doi: 10.1002/ardp.201200334.
4
A novel access to arylated and heteroarylated beta-carboline based PDE5 inhibitors.一种新型芳基化和杂芳基化β-咔啉基 PDE5 抑制剂的合成方法。
Med Chem. 2010 Nov;6(6):374-87. doi: 10.2174/157340610793563992.
5
Synthesis and molecular modeling of novel tetrahydro-β-carboline derivatives with phosphodiesterase 5 inhibitory and anticancer properties.新型四氢-β-咔啉衍生物的合成及分子模拟及其具有磷酸二酯酶 5 抑制和抗癌活性。
J Med Chem. 2011 Jan 27;54(2):495-509. doi: 10.1021/jm100842v. Epub 2010 Dec 28.
6
Design, Synthesis, and Biological Activity of β-Carboline Analogues Containing Hydantoin, Thiohydantoin, and Urea Moieties.β-咔啉类似物中含缩二脲、硫代缩二脲和脲部分的设计、合成及生物活性。
J Agric Food Chem. 2018 Aug 8;66(31):8253-8261. doi: 10.1021/acs.jafc.8b03087. Epub 2018 Jul 27.
7
Discovery of furyl/thienyl β-carboline derivatives as potent and selective PDE5 inhibitors with excellent vasorelaxant effect.发现呋喃基/噻吩基 β-咔啉衍生物具有强效和选择性的 PDE5 抑制作用,并具有优异的血管舒张作用。
Eur J Med Chem. 2018 Oct 5;158:767-780. doi: 10.1016/j.ejmech.2018.09.028. Epub 2018 Sep 15.
8
Structure-Based Design of Novel Tetrahydro-Beta-Carboline Derivatives with a Hydrophilic Side Chain as Potential Phosphodiesterase Inhibitors.基于结构设计具有亲水性侧链的新型四氢-β-咔啉衍生物作为潜在的磷酸二酯酶抑制剂
Sci Pharm. 2015 Sep 26;84(3):428-446. doi: 10.3390/scipharm84030428.
9
Traceless synthesis of hydantoin fused tetrahydro-beta-carboline on ionic liquid support in green media.在绿色介质中离子液体载体上无痕合成乙内酰脲稠合四氢-β-咔啉
Org Lett. 2009 Nov 5;11(21):4826-9. doi: 10.1021/ol901857h.
10
The discovery of tadalafil: a novel and highly selective PDE5 inhibitor. 1: 5,6,11,11a-tetrahydro-1H-imidazo[1',5':1,6]pyrido[3,4-b]indole-1,3(2H)-dione analogues.他达拉非的发现:一种新型且高度选择性的磷酸二酯酶5抑制剂。1:5,6,11,11a-四氢-1H-咪唑并[1',5':1,6]吡啶并[3,4-b]吲哚-1,3(2H)-二酮类似物。
J Med Chem. 2003 Oct 9;46(21):4525-32. doi: 10.1021/jm030056e.

引用本文的文献

1
Recent Development in Hydantoins, Thiohydantoins, and Selenohydantoins as Anticancer Agents: Structure-activity Relationship and Design Strategies.乙内酰脲、硫代乙内酰脲和硒代乙内酰脲作为抗癌剂的最新进展:构效关系与设计策略
Mini Rev Med Chem. 2025;25(9):693-726. doi: 10.2174/0113895575329643241206101210.
2
Pharmacological importance of optically active tetrahydro-β-carbolines and synthetic approaches to create the C1 stereocenter.光学活性四氢-β-咔啉的药理学重要性及构建C1立体中心的合成方法。
Molecules. 2014 Jan 27;19(2):1544-67. doi: 10.3390/molecules19021544.

本文引用的文献

1
Overview of PDEs and their regulation.磷酸二酯酶及其调节概述。
Circ Res. 2007 Feb 16;100(3):309-27. doi: 10.1161/01.RES.0000256354.95791.f1.
2
Phosphodiesterase 5 inhibitors in the treatment of erectile dysfunction.磷酸二酯酶5抑制剂在勃起功能障碍治疗中的应用
Curr Pharm Des. 2006;12(27):3467-84. doi: 10.2174/138161206778343046.
3
Cyclic nucleotide phosphodiesterases: molecular regulation to clinical use.环核苷酸磷酸二酯酶:从分子调控到临床应用
Pharmacol Rev. 2006 Sep;58(3):488-520. doi: 10.1124/pr.58.3.5.
4
Cyclic nucleotide phosphodiesterase (PDE) superfamily: a new target for the development of specific therapeutic agents.环核苷酸磷酸二酯酶(PDE)超家族:特异性治疗药物开发的新靶点。
Pharmacol Ther. 2006 Mar;109(3):366-98. doi: 10.1016/j.pharmthera.2005.07.003. Epub 2005 Aug 15.
5
Synthesis and biological evaluation of new tetrahydro-beta-carbolines as inhibitors of the mitotic kinesin Eg5.新型四氢-β-咔啉作为有丝分裂驱动蛋白Eg5抑制剂的合成及生物学评价
Bioorg Med Chem. 2005 Nov 15;13(22):6094-111. doi: 10.1016/j.bmc.2005.06.027. Epub 2005 Aug 3.
6
Phosphodiesterase 5 inhibitors: current status and potential applications.磷酸二酯酶5抑制剂:现状与潜在应用
Nat Rev Drug Discov. 2002 Sep;1(9):674-82. doi: 10.1038/nrd893.
7
Reaction of 6-hydroxytetrahydro-beta-carboline-3-carboxylic acids with isocyanates and isothiocyanates.6-羟基四氢-β-咔啉-3-羧酸与异氰酸酯和异硫氰酸酯的反应
Chem Pharm Bull (Tokyo). 1994 Oct;42(10):2108-12. doi: 10.1248/cpb.42.2108.