Suppr超能文献

罕见刺激是否因其意外性而引发较大的P3波?标准奇偶数任务与预测奇偶数任务中奇偶数效应的比较。

Do Rare Stimuli Evoke Large P3s by Being Unexpected? A Comparison of Oddball Effects Between Standard-Oddball and Prediction-Oddball Tasks.

作者信息

Verleger Rolf, Śmigasiewicz Kamila

机构信息

Institute of Psychology II , University of Lübeck, Germany.

Department of Neurology, University of Lübeck, Germany.

出版信息

Adv Cogn Psychol. 2016 Jun 30;12(2):88-104. doi: 10.5709/acp-0189-9. eCollection 2016.

Abstract

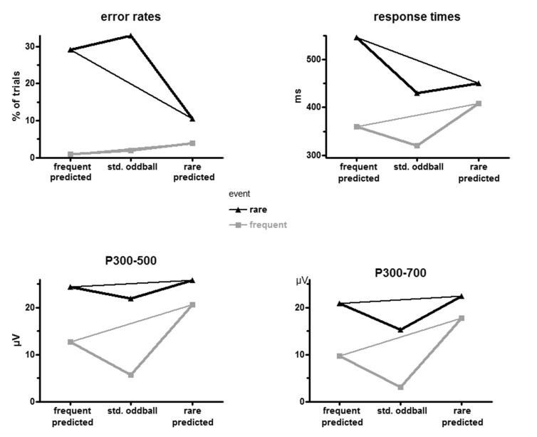
The P3 component of event-related potentials increases when stimuli are rarely presented. It has been assumed that this oddball effect (rare-frequent difference) reflects the unexpectedness of rare stimuli. The assumption of unexpectedness and its link to P3 amplitude were tested here. A standard- oddball task requiring alternative key-press responses to frequent and rare stimuli was compared with an oddball-prediction task where stimuli had to be first predicted and then confirmed by key-pressing. Oddball effects in the prediction task depended on whether the frequent or the rare stimulus had been predicted. Oddball effects on P3 amplitudes and error rates in the standard oddball task closely resembled effects after frequent predictions. This corroborates the notion that these effects occur because frequent stimuli are expected and rare stimuli are unexpected. However, a closer look at the prediction task put this notion into doubt because the modifications of oddball effects on P3 by expectancies were entirely due to effects on frequent stimuli, whereas the large P3 amplitudes evoked by rare stimuli were insensitive to predictions (unlike response times and error rates). Therefore, rare stimuli cannot be said to evoke large P3 amplitudes because they are unexpected. We discuss these diverging effects of frequency and expectancy, as well as general differences between tasks, with respect to concepts and hypotheses about P3b's function and conclude that each discussed concept or hypothesis encounters some problems, with a conception in terms of subjective relevance assigned to stimuli offering the most consistent account of these basic effects.

摘要

当刺激很少出现时,事件相关电位的P3成分会增加。人们认为这种奇异球效应(稀有-频繁差异)反映了稀有刺激的意外性。这里测试了意外性的假设及其与P3波幅的联系。将一个标准奇异球任务(要求对频繁和稀有刺激做出交替按键反应)与一个奇异球预测任务进行比较,在预测任务中,刺激必须先被预测,然后通过按键确认。预测任务中的奇异球效应取决于预测的是频繁刺激还是稀有刺激。标准奇异球任务中对P3波幅和错误率的奇异球效应与频繁预测后的效应非常相似。这证实了这些效应之所以发生是因为频繁刺激是预期的而稀有刺激是意外的这一观点。然而,仔细研究预测任务会使这一观点受到质疑,因为预期对P3奇异球效应的改变完全是由于对频繁刺激的影响,而稀有刺激诱发的大P3波幅对预测不敏感(与反应时间和错误率不同)。因此,不能说稀有刺激诱发大P3波幅是因为它们是意外的。我们根据关于P3b功能的概念和假设讨论了频率和预期的这些不同效应以及任务之间的一般差异,并得出结论,每个讨论的概念或假设都遇到了一些问题,用赋予刺激的主观相关性来解释这些基本效应最为一致。

https://cdn.ncbi.nlm.nih.gov/pmc/blobs/77b2/4975594/7c0a40cb79ea/acp-12-088-g001.jpg

文献AI研究员

20分钟写一篇综述,助力文献阅读效率提升50倍。

立即体验

用中文搜PubMed

大模型驱动的PubMed中文搜索引擎

马上搜索

文档翻译

学术文献翻译模型,支持多种主流文档格式。

立即体验