Suppr超能文献

用于提高酒石酸美托洛尔生物利用度和延长其作用时间的舌下速溶脂质体膜剂。

Sublingual fast dissolving niosomal films for enhanced bioavailability and prolonged effect of metoprolol tartrate.

作者信息

Allam Ayat, Fetih Gihan

机构信息

Department of Pharmaceutics, Faculty of Pharmacy, Assiut University, Assiut, Egypt.

出版信息

Drug Des Devel Ther. 2016 Aug 2;10:2421-33. doi: 10.2147/DDDT.S113775. eCollection 2016.

Abstract

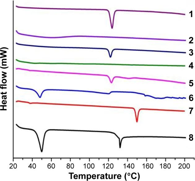
The aim of the present work was to prepare and evaluate sublingual fast dissolving films containing metoprolol tartrate-loaded niosomes. Niosomes were utilized to allow for prolonged release of the drug, whereas the films were used to increase the drug's bioavailability via the sublingual route. Niosomes were prepared using span 60 and cholesterol at different drug to surfactant ratios. The niosomes were characterized for size, zeta-potential, and entrapment efficiency. The selected niosomal formulation was incorporated into polymeric films using hydroxypropyl methyl cellulose E15 and methyl cellulose as film-forming polymers and Avicel as superdisintegrant. The physical characteristics (appearance, texture, pH, uniformity of weight and thickness, disintegration time, and palatability) of the prepared films were studied, in addition to evaluating the in vitro drug release, stability, and in vivo pharmacokinetics in rabbits. The release of the drug from the medicated film was fast (99.9% of the drug was released within 30 minutes), while the drug loaded into the niosomes, either incorporated into the film or not, showed only 22.85% drug release within the same time. The selected sublingual film showed significantly higher rate of drug absorption and higher drug plasma levels compared with that of commercial oral tablet. The plasma levels remained detectable for 24 hours following sublingual administration, compared with only 12 hours after administration of the oral tablet. In addition, the absolute bioavailability of the drug (ie, relative to intravenous administration) following sublingual administration was found to be significantly higher (91.06%±13.28%), as compared with that after oral tablet administration (39.37%±11.4%). These results indicate that the fast dissolving niosomal film could be a promising delivery system to enhance the bioavailability and prolong the therapeutic effect of metoprolol tartrate.

摘要

本研究的目的是制备并评估含有载有酒石酸美托洛尔的脂质体的舌下速溶膜。脂质体用于实现药物的长效释放,而该膜则用于通过舌下途径提高药物的生物利用度。使用司盘60和胆固醇以不同的药物与表面活性剂比例制备脂质体。对脂质体的粒径、zeta电位和包封率进行了表征。将选定的脂质体制剂与羟丙基甲基纤维素E15和甲基纤维素作为成膜聚合物以及微晶纤维素作为超级崩解剂一起掺入聚合物膜中。除了评估体外药物释放、稳定性和家兔体内药代动力学外,还研究了所制备膜的物理特性(外观、质地、pH值、重量和厚度均匀性、崩解时间和口感)。药物从含药膜中的释放很快(30分钟内释放了99.9%的药物),而装入脂质体中的药物,无论是否掺入膜中,在同一时间内仅释放了22.85%的药物。与市售口服片剂相比,选定的舌下膜显示出显著更高的药物吸收速率和更高的血浆药物水平。舌下给药后血浆水平在24小时内仍可检测到,而口服片剂给药后仅12小时。此外,与口服片剂给药后(39.37%±11.4%)相比,舌下给药后药物的绝对生物利用度(即相对于静脉给药)显著更高(91.06%±13.28%)。这些结果表明,速溶脂质体膜可能是一种有前途的给药系统,可提高酒石酸美托洛尔的生物利用度并延长其治疗效果。

https://cdn.ncbi.nlm.nih.gov/pmc/blobs/bc58/4977085/6ee0a93c1a52/dddt-10-2421Fig1.jpg

文献AI研究员

20分钟写一篇综述,助力文献阅读效率提升50倍。

立即体验

用中文搜PubMed

大模型驱动的PubMed中文搜索引擎

马上搜索

文档翻译

学术文献翻译模型,支持多种主流文档格式。

立即体验