Suppr超能文献

双侧前额叶皮质经颅磁刺激减少可卡因摄入量:一项初步研究。

Bilateral Transcranial Magnetic Stimulation of the Prefrontal Cortex Reduces Cocaine Intake: A Pilot Study.

作者信息

Bolloni Corinna, Panella Riccardo, Pedetti Mariano, Frascella Anna Grazia, Gambelunghe Cristiana, Piccoli Tommaso, Maniaci Giuseppe, Brancato Anna, Cannizzaro Carla, Diana Marco

机构信息

Department of Experimental Biomedicine and Clinical Neuroscience, University of Palermo , Palermo , Italy.

Laboratory of Cognitive Neuroscience 'G. Minardi', University of Sassari , Sassari , Italy.

出版信息

Front Psychiatry. 2016 Aug 8;7:133. doi: 10.3389/fpsyt.2016.00133. eCollection 2016.

Abstract

BACKGROUND

Chronic cocaine consumption is associated with a decrease in mesolimbic dopamine transmission that maintains drug intake. transcranial magnetic stimulation (TMS) is gaining reliability, a useful therapeutic tool in drug addiction, since it can modulate cortico-limbic activity resulting in reduction of drug craving.

AIMS

In the present study, we investigated the therapeutic effect of bilateral TMS of prefrontal cortex (PFC) in reducing cocaine intake, in a sample of treatment-seeking patients with current cocaine use disorder (DSM-V).

METHODS

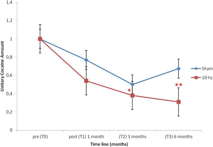
Ten cocaine addicts (DSM-V) were randomly assigned to the active or sham stimulation protocol in a double-blind experimental design. Twelve repetitive TMS (rTMS) sessions were administered three times a week for 4 weeks at 100% of motor threshold, over bilateral PFC. Cocaine intake (ng/mg) was assessed by hair analysis at baseline (before treatment, T0), after 1 month (end of treatment, T1), 3 (T2), and 6 (T3) months later. All subjects received psychological support weekly.

RESULTS

The two-way ANOVA for repeated measures did not show a significant effect of the interaction between time and treatment (F 4,32 = 0.35; p = 0.87). Despite that result indicated no difference in the effect of the two conditions (active vs. sham) along time, a decreasing trend in cocaine consumption in active TMS group (F 3,23 = 3.42; p = 0.04) vs. sham (F 3,15 = 1.88; p = 0.20) was observed when we performed exploratory analysis with time as factor. Indeed, Post hoc comparisons showed a significant reduction in the amount of cocaine detected from the onset to 3 months later (T0-T2; p = 0.02) and to the end of treatment (T0-T3; p = 0.01) in addicts from the active group.

CONCLUSION

Bilateral rTMS of PFC at 10 Hz did not show a significant effect on cocaine intake compared to sham. However, a long-term reduction on cocaine intake in active TMS-treated patients was observed when we considered the time as factor. Further studies are required to confirm these encouraging but preliminary findings, in order to consolidate rTMS as a valid tool to treat cocaine addiction.

摘要

背景

长期使用可卡因与中脑边缘多巴胺传递减少有关,而这种传递维持了药物摄入。经颅磁刺激(TMS)的可靠性正在提高,它是治疗药物成瘾的一种有用的治疗工具,因为它可以调节皮质-边缘系统活动,从而减少药物渴望。

目的

在本研究中,我们调查了双侧前额叶皮质(PFC)经颅磁刺激在减少可卡因摄入量方面的治疗效果,研究对象为一组寻求治疗的当前患有可卡因使用障碍(DSM-V)的患者。

方法

在双盲实验设计中,将10名可卡因成瘾者(DSM-V)随机分配到主动刺激或假刺激方案组。在双侧PFC处以运动阈值的100%每周进行3次,共4周,给予12次重复经颅磁刺激(rTMS)治疗。通过毛发分析在基线(治疗前,T0)、1个月后(治疗结束时,T1)、3个月(T2)和6个月(T3)后评估可卡因摄入量(纳克/毫克)。所有受试者每周接受心理支持。

结果

重复测量的双向方差分析未显示时间与治疗之间的交互作用有显著影响(F4,32 = 0.35;p = 0.87)。尽管该结果表明两种情况(主动刺激与假刺激)随时间的效果无差异,但当我们以时间为因素进行探索性分析时,观察到主动TMS组(F3,23 = 3.42;p = 0.04)与假刺激组(F3,15 = 1.88;p = 0.20)相比,可卡因消耗量有下降趋势。确实,事后比较显示,主动组成瘾者从开始到3个月后(T0 - T2;p = 0.02)以及到治疗结束时(T0 - T3;p = 0.01)检测到的可卡因量显著减少。

结论

与假刺激相比,10赫兹的双侧PFC重复经颅磁刺激对可卡因摄入量未显示出显著影响。然而,当我们将时间作为因素考虑时,观察到主动接受TMS治疗的患者可卡因摄入量有长期减少。需要进一步研究来证实这些令人鼓舞但初步的发现,以便巩固重复经颅磁刺激作为治疗可卡因成瘾的有效工具的地位。

https://cdn.ncbi.nlm.nih.gov/pmc/blobs/e404/4976094/d2b8cbcd5209/fpsyt-07-00133-g001.jpg

文献AI研究员

20分钟写一篇综述,助力文献阅读效率提升50倍。

立即体验

用中文搜PubMed

大模型驱动的PubMed中文搜索引擎

马上搜索

文档翻译

学术文献翻译模型,支持多种主流文档格式。

立即体验