John Innes Centre, Norwich Research Park, Colney, Norwich, NR4 7UH, UK.
Mol Plant Pathol. 2017 Feb;18(2):276-292. doi: 10.1111/mpp.12482. Epub 2016 Oct 20.
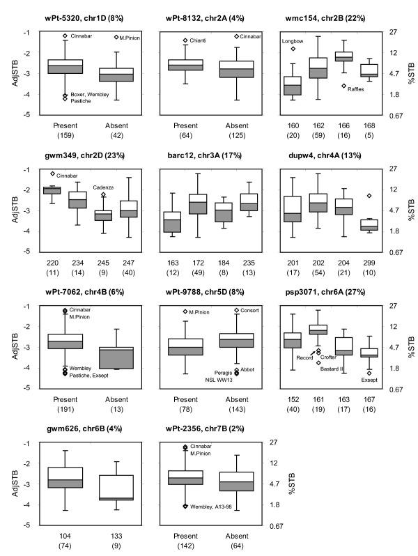
An association genetics analysis was conducted to investigate the genetics of resistance to Septoria tritici blotch, caused by the fungus Zymoseptoria tritici (alternatively Mycosphaerella graminicola), in cultivars and breeding lines of wheat (Triticum aestivum) used in the UK between 1860 and 2000. The population was tested with Diversity Array Technology (DArT) and simple-sequence repeat (SSR or microsatellite) markers. The lines formed a single population with no evidence for subdivision, because there were several common ancestors of large parts of the pedigree. Quantitative trait loci (QTLs) controlling Septoria resistance were postulated on 11 chromosomes, but 38% of variation was not explained by the identified QTLs. Calculation of best linear unbiased predictions (BLUPs) identified lineages of spring and winter wheat carrying different alleles for resistance and susceptibility. Abundant variation in Septoria resistance may be exploited by crossing well-adapted cultivars in different lineages to achieve transgressive segregation and thus breed for potentially durable quantitative resistance, whereas phenotypic selection for polygenic quantitative resistance should be effective in breeding cultivars with increased resistance. The most potent allele reducing susceptibility to Septoria, on chromosome arm 6AL, was associated with reduced leaf size. Genes which increase susceptibility to Septoria may have been introduced inadvertently into UK wheat breeding programmes from cultivars used to increase yield, rust resistance and eyespot resistance between the 1950s and 1980s. This indicates the need to consider trade-offs in plant breeding when numerous traits are important and to be cautious about the use of non-adapted germplasm.
进行了一项关联遗传学分析,以研究由小麦叶枯病菌(Alternaria tritici)(也称为麦球腔菌)引起的条锈病抗性的遗传基础,该病菌在 1860 年至 2000 年间在英国使用的小麦品种和品系中。该群体用多样性阵列技术(DArT)和简单序列重复(SSR 或微卫星)标记进行了测试。这些品系形成了一个单一的群体,没有细分的证据,因为在系谱的很大一部分中,有几个共同的祖先。假设 11 条染色体上存在控制条锈病抗性的数量性状基因座(QTL),但鉴定出的 QTL 仅解释了 38%的变异。最佳线性无偏预测(BLUP)的计算确定了携带不同抗性和敏感性等位基因的春小麦和冬小麦品系。条锈病抗性的丰富变异可以通过在不同品系中杂交适应性良好的品种来实现超越分离,从而培育潜在持久的数量抗性,而对多基因数量抗性的表型选择应该在培育具有增加抗性的品种方面是有效的。在 6AL 染色体臂上降低对条锈病敏感性的最有效等位基因与叶片尺寸减小有关。增加对条锈病敏感性的基因可能在 20 世纪 50 年代至 80 年代期间,从用于提高产量、抗锈病和眼斑病的品种中无意中引入了英国小麦育种计划,这表明在多个性状很重要时,在植物育种中需要考虑权衡取舍,并且在使用非适应性种质时要谨慎。