School of Science, Jiangsu Provincial Research Center of Light Industrial Optoelectronic Engineering and Technology, Jiangnan University, Wuxi 214122, China.
School of Mechanical Engineering and Birck Nanotechnology Center, Purdue University, West Lafayette, Indiana 47907, USA.
Sci Rep. 2016 Aug 30;6:32616. doi: 10.1038/srep32616.
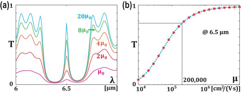
Mid-infrared spectroscopy is of great importance in many areas and its integration with thin-film technology can economically enrich the functionalities of many existing devices. In this paper we propose a graphene-based ultra-compact spectrometer (several micrometers in size) that is compatible with complementary metal-oxide-semiconductor (CMOS) processing. The proposed structure uses a monolayer graphene as a mid-infrared surface waveguide, whose optical response is spatially modulated using electric fields to form a Fabry-Pérot cavity. By varying the voltage acting on the cavity, we can control the transmitted wavelength of the spectrometer at room temperature. This design has potential applications in the graphene-silicon-based optoelectronic devices as it offers new possibilities for developing new ultra-compact spectrometers and low-cost hyperspectral imaging sensors in mid-infrared region.
中红外光谱学在许多领域都非常重要,将其与薄膜技术集成可以经济地丰富许多现有设备的功能。在本文中,我们提出了一种基于石墨烯的超紧凑光谱仪(尺寸为数微米),它与互补金属氧化物半导体(CMOS)工艺兼容。所提出的结构使用单层石墨烯作为中红外表面波导,其光学响应使用电场进行空间调制,形成法布里-珀罗腔。通过改变作用在腔上的电压,我们可以在室温下控制光谱仪的透射波长。这种设计在基于石墨烯-硅的光电设备中有潜在的应用,因为它为开发新的超紧凑光谱仪和低成本中红外区域的高光谱成像传感器提供了新的可能性。