Suppr超能文献

酰胺氢/氘交换质谱法在人胱抑素C表位作图中的应用。

Application of amide hydrogen/deuterium exchange mass spectrometry for epitope mapping in human cystatin C.

作者信息

Prądzińska Martyna, Behrendt Izabela, Astorga-Wells Juan, Manoilov Aleksandr, Zubarev Roman A, Kołodziejczyk Aleksandra S, Rodziewicz-Motowidło Sylwia, Czaplewska Paulina

机构信息

Faculty of Chemistry, Department of Biomedical Chemistry, University of Gdańsk, Wita Stwosza 63, 80-952, Gdańsk, Poland.

Division of Physiological Chemistry I, Department of Medical Biochemistry and Biophysics, Karolinska Institutet, Scheeles väg 2, S-171 77, Stockholm, Sweden.

出版信息

Amino Acids. 2016 Dec;48(12):2809-2820. doi: 10.1007/s00726-016-2316-y. Epub 2016 Aug 29.

Abstract

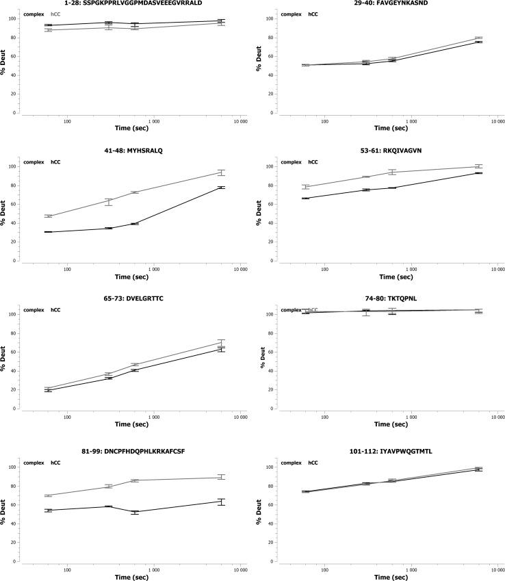
Human cystatin C (hCC) is a small cysteine protease inhibitor whose oligomerization by propagated domain swapping is linked to certain neurological disorders. One of the ways to prevent hCC dimerization and fibrillogenesis is to enable its interaction with a proper antibody. Herein, the sites of interaction of hCC with dimer-preventing mouse monoclonal anti-hCC antibodies Cyst28 are studied and compared with the binding sites found for mAb Cyst10 that has almost no effect on hCC dimerization. In addition, hCC epitopes in complexes with native polyclonal antibodies extracted from human serum were studied. The results obtained with hydrogen-deuterium exchange mass spectrometry (HDX MS) were compared with the previous findings made using the excision/extraction MS approach. The main results from the two complementary MS-based approaches are found to be in agreement with each other, with some differences being attributed to the specificity of each method. The findings of the current studies may be important for future design of hCC dimerization inhibitors.

摘要

人胱抑素C(hCC)是一种小分子半胱氨酸蛋白酶抑制剂,其通过传播结构域交换形成的寡聚化与某些神经系统疾病有关。防止hCC二聚化和纤维形成的方法之一是使其与合适的抗体相互作用。在此,研究了hCC与防止二聚化的小鼠单克隆抗hCC抗体Cyst28的相互作用位点,并与对hCC二聚化几乎没有影响的单克隆抗体Cyst10的结合位点进行了比较。此外,还研究了hCC与从人血清中提取的天然多克隆抗体形成的复合物中的表位。将氢-氘交换质谱(HDX MS)获得的结果与先前使用切除/提取质谱方法得到的结果进行了比较。发现这两种基于质谱的互补方法的主要结果相互一致,一些差异归因于每种方法的特异性。当前研究的结果可能对hCC二聚化抑制剂的未来设计具有重要意义。

https://cdn.ncbi.nlm.nih.gov/pmc/blobs/3b74/5107209/4696e9ca7644/726_2016_2316_Fig1_HTML.jpg

文献AI研究员

20分钟写一篇综述,助力文献阅读效率提升50倍。

立即体验

用中文搜PubMed

大模型驱动的PubMed中文搜索引擎

马上搜索

文档翻译

学术文献翻译模型,支持多种主流文档格式。

立即体验