Suppr超能文献

利用事件相关电位功能微状态区分注意力效应与范畴知觉

Dissociating Attention Effects from Categorical Perception with ERP Functional Microstates.

作者信息

Dering Benjamin, Donaldson David I

机构信息

School of Natural Sciences, University of Stirling, Stirling, United Kingdom.

出版信息

PLoS One. 2016 Sep 22;11(9):e0163336. doi: 10.1371/journal.pone.0163336. eCollection 2016.

Abstract

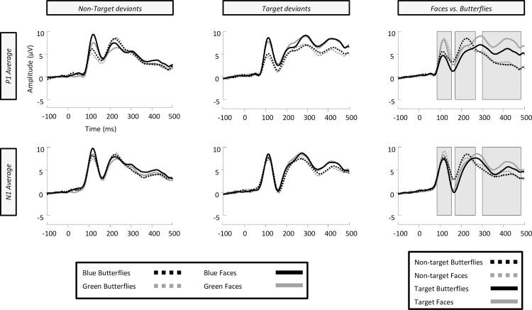
When faces appear in our visual environment we naturally attend to them, possibly to the detriment of other visual information. Evidence from behavioural studies suggests that faces capture attention because they are more salient than other types of visual stimuli, reflecting a category-dependent modulation of attention. By contrast, neuroimaging data has led to a domain-specific account of face perception that rules out the direct contribution of attention, suggesting a dedicated neural network for face perception. Here we sought to dissociate effects of attention from categorical perception using Event Related Potentials. Participants viewed physically matched face and butterfly images, with each category acting as a target stimulus during different blocks in an oddball paradigm. Using a data-driven approach based on functional microstates, we show that the locus of endogenous attention effects with ERPs occurs in the N1 time range. Earlier categorical effects were also found around the level of the P1, reflecting either an exogenous increase in attention towards face stimuli, or a putative face-selective measure. Both category and attention effects were dissociable from one another hinting at the role that faces may play in early capturing of attention before top-down control of attention is observed. Our data support the conclusion that certain object categories, in this experiment, faces, may capture attention before top-down voluntary control of attention is initiated.

摘要

当面孔出现在我们的视觉环境中时,我们会自然地关注它们,这可能会对其他视觉信息造成损害。行为研究的证据表明,面孔能够吸引注意力是因为它们比其他类型的视觉刺激更显著,这反映了一种依赖于类别的注意力调节。相比之下,神经成像数据导致了对面孔感知的一种特定领域的解释,排除了注意力的直接作用,这表明存在一个专门用于面孔感知的神经网络。在这里,我们试图使用事件相关电位来区分注意力的影响和类别感知的影响。参与者观看了物理上匹配的面孔和蝴蝶图像,在一个oddball范式的不同组块中,每一类图像都作为目标刺激。使用基于功能微状态的数据驱动方法,我们表明,ERP中内源性注意力效应的位点出现在N1时间范围内。在P1水平附近也发现了更早的类别效应,这反映了对面孔刺激注意力的外源性增加,或者是一种假定的面孔选择性测量。类别效应和注意力效应彼此是可分离的,这暗示了在观察到自上而下的注意力控制之前,面孔在早期吸引注意力中可能发挥的作用。我们的数据支持这样的结论:在本实验中,某些物体类别,即面孔,可能在自上而下的注意力自愿控制启动之前就吸引了注意力。

https://cdn.ncbi.nlm.nih.gov/pmc/blobs/dc11/5033484/6e47bfd6b834/pone.0163336.g001.jpg

文献AI研究员

20分钟写一篇综述,助力文献阅读效率提升50倍。

立即体验

用中文搜PubMed

大模型驱动的PubMed中文搜索引擎

马上搜索

文档翻译

学术文献翻译模型,支持多种主流文档格式。

立即体验