Suppr超能文献

伴有和不伴有合并纤维肌痛的颞下颌肌筋膜疼痛患者的热时间总和及后感觉衰退

Thermal temporal summation and decay of after-sensations in temporomandibular myofascial pain patients with and without comorbid fibromyalgia.

作者信息

Janal Malvin N, Raphael Karen G, Cook Dane B, Sirois David A, Nemelivsky Lena, Staud Roland

机构信息

Epidemiology and Health Promotion.

Oral and Maxillofacial Pathology, Radiology, and Medicine, NYU College of Dentistry, New York, NY.

出版信息

J Pain Res. 2016 Sep 12;9:641-52. doi: 10.2147/JPR.S109038. eCollection 2016.

Abstract

INTRODUCTION

Chronic myofascial temporomandibular disorders (TMD) may have multiple etiological and maintenance factors. One potential factor, central pain sensitization, was quantified here as the response to the temporal summation (TS) paradigm, and that response was compared between case and control groups.

OBJECTIVES

As previous research has shown that fibromyalgia (FM) is diagnosed iñ20% of TMD patients, Aim 1 determined whether central sensitization is found preferentially in myofascial TMD cases that have orofacial pain as a regional manifestation of FM. Aim 2 determined if the report of after-sensations (AS) following TS varied depending on whether repeated stimuli were rated as increasingly painful.

METHODS

One hundred sixty-eight women, 43 controls, 100 myofascial TMD-only cases, and 25 myofascial TMD + FM cases, were compared on thermal warmth and pain thresholds, thermal TS, and decay of thermal AS. All cases met Research Diagnostic Criteria for TMD; comorbid cases also met the 1990 American College of Rheumatology criteria for FM.

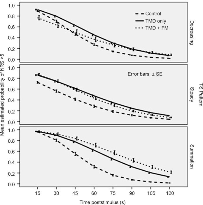
RESULTS

Pain thresholds and TS were similar in all groups. When TS was achieved (~60%), significantly higher levels of AS were reported in the first poststimulus interval, and AS decayed more slowly over time, in myofascial TMD cases than controls. By contrast, groups showed similar AS decay patterns following steady state or decreasing responses to repetitive stimulation.

CONCLUSION

In this case-control study, all myofascial TMD cases were characterized by a similar delay in the decay of AS. Thus, this indicator of central sensitization failed to suggest different pain maintenance factors in myofascial TMD cases with and without FM.

摘要

引言

慢性肌筋膜性颞下颌关节紊乱病(TMD)可能有多种病因及维持因素。本文将中枢性疼痛敏化这一潜在因素量化为对时间总和(TS)范式的反应,并在病例组和对照组之间比较该反应。

目的

既往研究表明,20%的TMD患者被诊断为纤维肌痛(FM),目标1确定中枢敏化是否在以口面部疼痛作为FM区域表现的肌筋膜性TMD病例中更常见。目标2确定TS后余觉(AS)的报告是否因重复刺激被评定为疼痛加剧而有所不同。

方法

比较168名女性,其中43名对照者、100名单纯肌筋膜性TMD病例和25名肌筋膜性TMD + FM病例的热觉阈、痛阈、热TS及热AS的消退情况。所有病例均符合TMD的研究诊断标准;合并病例也符合1990年美国风湿病学会的FM标准。

结果

所有组的痛阈和TS相似。当达到TS时(约60%),与对照组相比,肌筋膜性TMD病例在刺激后的第一个时间间隔内报告的AS水平显著更高,且AS随时间消退更慢。相比之下,在对重复刺激的反应达到稳态或下降时,各组的AS消退模式相似。

结论

在这项病例对照研究中,所有肌筋膜性TMD病例的特征均为AS消退延迟相似。因此,这种中枢敏化指标未能提示伴有和不伴有FM的肌筋膜性TMD病例中存在不同的疼痛维持因素。

https://cdn.ncbi.nlm.nih.gov/pmc/blobs/74c6/5026221/a64ab7c5aab1/jpr-9-641Fig1.jpg

文献检索

告别复杂PubMed语法,用中文像聊天一样搜索,搜遍4000万医学文献。AI智能推荐,让科研检索更轻松。

立即免费搜索

文件翻译

保留排版,准确专业,支持PDF/Word/PPT等文件格式,支持 12+语言互译。

免费翻译文档

深度研究

AI帮你快速写综述,25分钟生成高质量综述,智能提取关键信息,辅助科研写作。

立即免费体验