• 文献检索
  • 文档翻译
  • 深度研究
  • 学术资讯
  • Suppr Zotero 插件Zotero 插件
  • 邀请有礼
  • 套餐&价格
  • 历史记录
应用&插件
Suppr Zotero 插件Zotero 插件浏览器插件Mac 客户端Windows 客户端微信小程序
定价
高级版会员购买积分包购买API积分包
服务
文献检索文档翻译深度研究API 文档MCP 服务
关于我们
关于 Suppr公司介绍联系我们用户协议隐私条款
关注我们

Suppr 超能文献

核心技术专利:CN118964589B侵权必究
粤ICP备2023148730 号-1Suppr @ 2026

文献检索

告别复杂PubMed语法,用中文像聊天一样搜索,搜遍4000万医学文献。AI智能推荐,让科研检索更轻松。

立即免费搜索

文件翻译

保留排版,准确专业,支持PDF/Word/PPT等文件格式,支持 12+语言互译。

免费翻译文档

深度研究

AI帮你快速写综述,25分钟生成高质量综述,智能提取关键信息,辅助科研写作。

立即免费体验

颞下颌关节疼痛的存在与否对患有肌筋膜性颞下颌关节紊乱症女性的第二痛的时间总和及后感觉有影响。

Temporal Summation and Aftersensations of Second Pain in Women with Myofascial Temporomandibular Disorder Differ by Presence of Temporomandibular Joint Pain.

作者信息

Santiago Vivian, Janal Malvin N, Cook Dane B, Raphael Karen G

机构信息

Department of Oral & Maxillofacial Pathology, Radiology & Medicine, New York University College of Dentistry, New York, NY, USA.

Department of Epidemiology and Health Promotion, New York University College of Dentistry, New York, NY, USA.

出版信息

J Pain Res. 2022 Oct 19;15:3275-3286. doi: 10.2147/JPR.S381640. eCollection 2022.

DOI:10.2147/JPR.S381640
PMID:36284523
原文链接:https://pmc.ncbi.nlm.nih.gov/articles/PMC9588293/
Abstract

PURPOSE

Mechanisms underlying myofascial temporomandibular disorder (mTMD) are poorly understood. One theory is dysfunction in the central mediation of pain, specifically in enhanced facilitatory pain modulation. Because mechanisms leading to central sensitization may differ for joint and muscle pain, this study of mTMD addressed phenotypic heterogeneity by temporomandibular (TM) joint pain in the examination of quantitative sensory testing (QST).

PATIENTS AND METHODS

The stimulus dependent increase in second pain (temporal summation (TS)) and associated aftersensations (AS) were examined across groups of women with mTMD with TM joint pain and without, and a demographically matched control group.

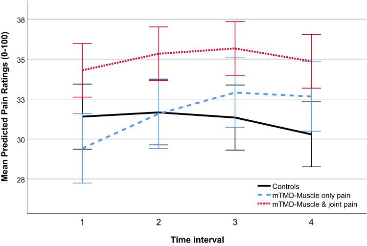
RESULTS

TS was slightly more evident in mTMD without joint pain vs with (p = 0.035), but AS were most robustly persistent in the group with joint pain vs without (p < 0.002).

CONCLUSION

While both subgroups demonstrated evidence of central sensitization relative to controls on one of two measures, differences in QST results, if replicated, may point to possible differences in the mechanisms that yield central sensitization. Alternatively, it may represent methodological artifacts that need to be addressed. Therefore, greater consideration should be given to symptom-based phenotypes in studies examining TS and AS.

摘要

目的

肌筋膜性颞下颌关节紊乱病(mTMD)的潜在机制尚不清楚。一种理论认为是疼痛的中枢调节功能障碍,特别是增强的易化性疼痛调制。由于导致中枢敏化的机制在关节痛和肌痛中可能不同,本项针对mTMD的研究在定量感觉测试(QST)检查中,通过颞下颌(TM)关节疼痛来探讨表型异质性。

患者与方法

对患有和未患有TM关节疼痛的mTMD女性组以及人口统计学匹配的对照组,检查了依赖刺激的二次疼痛增加(时间总和(TS))和相关的后感觉(AS)。

结果

在没有关节疼痛的mTMD中,TS比有关节疼痛的mTMD中略更明显(p = 0.035),但在有关节疼痛的组中,AS比没有关节疼痛的组中持续存在的情况最为显著(p < 0.002)。

结论

虽然两个亚组在两种测量方法中的一种上相对于对照组都显示出中枢敏化的证据,但如果QST结果的差异得到重复,可能表明产生中枢敏化的机制存在差异。或者,这可能代表需要解决的方法学假象。因此,在研究TS和AS时,应更多地考虑基于症状的表型。

https://cdn.ncbi.nlm.nih.gov/pmc/blobs/2399/9588293/c3462e26a814/JPR-15-3275-g0005.jpg
https://cdn.ncbi.nlm.nih.gov/pmc/blobs/2399/9588293/2c12b811436c/JPR-15-3275-g0001.jpg
https://cdn.ncbi.nlm.nih.gov/pmc/blobs/2399/9588293/bab33df6b938/JPR-15-3275-g0002.jpg
https://cdn.ncbi.nlm.nih.gov/pmc/blobs/2399/9588293/67d9b2820f27/JPR-15-3275-g0003.jpg
https://cdn.ncbi.nlm.nih.gov/pmc/blobs/2399/9588293/9c2f2e7ab352/JPR-15-3275-g0004.jpg
https://cdn.ncbi.nlm.nih.gov/pmc/blobs/2399/9588293/c3462e26a814/JPR-15-3275-g0005.jpg
https://cdn.ncbi.nlm.nih.gov/pmc/blobs/2399/9588293/2c12b811436c/JPR-15-3275-g0001.jpg
https://cdn.ncbi.nlm.nih.gov/pmc/blobs/2399/9588293/bab33df6b938/JPR-15-3275-g0002.jpg
https://cdn.ncbi.nlm.nih.gov/pmc/blobs/2399/9588293/67d9b2820f27/JPR-15-3275-g0003.jpg
https://cdn.ncbi.nlm.nih.gov/pmc/blobs/2399/9588293/9c2f2e7ab352/JPR-15-3275-g0004.jpg
https://cdn.ncbi.nlm.nih.gov/pmc/blobs/2399/9588293/c3462e26a814/JPR-15-3275-g0005.jpg

相似文献

1
Temporal Summation and Aftersensations of Second Pain in Women with Myofascial Temporomandibular Disorder Differ by Presence of Temporomandibular Joint Pain.颞下颌关节疼痛的存在与否对患有肌筋膜性颞下颌关节紊乱症女性的第二痛的时间总和及后感觉有影响。
J Pain Res. 2022 Oct 19;15:3275-3286. doi: 10.2147/JPR.S381640. eCollection 2022.
2
Examination of Conditioned Pain Modulation in Myofascial TMD With Consideration of Temporal Summation.考虑时间总和的肌筋膜 TMD 条件性疼痛调制的检查。
J Pain. 2024 May;25(5):104430. doi: 10.1016/j.jpain.2023.11.013. Epub 2023 Nov 20.
3
Quantitative sensory testing in patients with the muscle pain subtype of temporomandibular disorder: a systemic review and meta-analysis.肌肉疼痛型颞下颌关节紊乱症患者的定量感觉测试:系统评价和荟萃分析。
Clin Oral Investig. 2021 Dec;25(12):6547-6559. doi: 10.1007/s00784-021-04171-5. Epub 2021 Sep 6.
4
Absence of joint pain identifies high levels of sleep masticatory muscle activity in myofascial temporomandibular disorder.关节痛缺失可识别肌筋膜性颞下颌关节紊乱中的高水平睡眠咀嚼肌活动。
J Oral Rehabil. 2019 Dec;46(12):1161-1169. doi: 10.1111/joor.12853. Epub 2019 Jul 21.
5
Lack of temporal summation but distinct aftersensations to thermal stimulation in patients with combined tension-type headache and myofascial temporomandibular disorder.伴有紧张型头痛和肌筋膜性颞下颌关节紊乱症的患者缺乏时间总和现象,但对热刺激有明显的后感觉。
J Orofac Pain. 2012 Fall;26(4):288-95.
6
Why look in the brain for answers to temporomandibular disorder pain?为什么要在大脑中寻找颞下颌关节紊乱症疼痛的答案呢?
Cells Tissues Organs. 2005;180(1):69-75. doi: 10.1159/000086200.
7
Thermal temporal summation and decay of after-sensations in temporomandibular myofascial pain patients with and without comorbid fibromyalgia.伴有和不伴有合并纤维肌痛的颞下颌肌筋膜疼痛患者的热时间总和及后感觉衰退
J Pain Res. 2016 Sep 12;9:641-52. doi: 10.2147/JPR.S109038. eCollection 2016.
8
Evidence for Central Sensitization in Patients with Temporomandibular Disorders: A Systematic Review and Meta-analysis of Observational Studies.颞下颌关节紊乱症患者中枢敏化的证据:一项观察性研究的系统评价和荟萃分析
Pain Pract. 2018 Mar;18(3):388-409. doi: 10.1111/papr.12604. Epub 2017 Jul 11.
9
Usefulness of Ramp & Hold Procedures for Testing of Pain Facilitation in Human Participants: Comparisons With Temporal Summation of Second Pain.斜坡保持程序在人体疼痛易化测试中的效用:与第二痛的时间总和的比较。
J Pain. 2020 Mar-Apr;21(3-4):390-398. doi: 10.1016/j.jpain.2019.08.004. Epub 2019 Aug 16.
10
Single-Item, Self-Rated Health is a Useful Indicator of Health in Myofascial Temporomandibular Disorders.单项自评健康是肌筋膜颞下颌紊乱的有用健康指标。
J Oral Facial Pain Headache. 2019 Summer;33(3):260–268. doi: 10.11607/ofph.2045. Epub 2018 Oct 26.

引用本文的文献

1
Jaw muscle and joint psychophysics-relevance for clinical orofacial pain practice and research. A narrative review.颌面部肌肉与关节心理物理学——对临床口腔面部疼痛诊疗及研究的相关性。一项叙述性综述。
J Oral Facial Pain Headache. 2025 Mar;39(1):1-14. doi: 10.22514/jofph.2025.001. Epub 2025 Mar 12.
2
Examination of Conditioned Pain Modulation in Myofascial TMD With Consideration of Temporal Summation.考虑时间总和的肌筋膜 TMD 条件性疼痛调制的检查。
J Pain. 2024 May;25(5):104430. doi: 10.1016/j.jpain.2023.11.013. Epub 2023 Nov 20.

本文引用的文献

1
Quantitative sensory testing in patients with the muscle pain subtype of temporomandibular disorder: a systemic review and meta-analysis.肌肉疼痛型颞下颌关节紊乱症患者的定量感觉测试:系统评价和荟萃分析。
Clin Oral Investig. 2021 Dec;25(12):6547-6559. doi: 10.1007/s00784-021-04171-5. Epub 2021 Sep 6.
2
Central mechanisms of pain in orofacial pain patients: Implications for management.口腔颌面部疼痛患者的中枢疼痛机制:对管理的影响。
J Oral Pathol Med. 2020 Jul;49(6):476-483. doi: 10.1111/jop.13062. Epub 2020 Jul 2.
3
Usefulness of Ramp & Hold Procedures for Testing of Pain Facilitation in Human Participants: Comparisons With Temporal Summation of Second Pain.
斜坡保持程序在人体疼痛易化测试中的效用:与第二痛的时间总和的比较。
J Pain. 2020 Mar-Apr;21(3-4):390-398. doi: 10.1016/j.jpain.2019.08.004. Epub 2019 Aug 16.
4
Absence of joint pain identifies high levels of sleep masticatory muscle activity in myofascial temporomandibular disorder.关节痛缺失可识别肌筋膜性颞下颌关节紊乱中的高水平睡眠咀嚼肌活动。
J Oral Rehabil. 2019 Dec;46(12):1161-1169. doi: 10.1111/joor.12853. Epub 2019 Jul 21.
5
Somatosensory profiles of patients with chronic myogenic temporomandibular disorders in relation to their painDETECT score.慢性肌源性颞下颌关节紊乱病患者的躯体感觉特征与其疼痛DETECT评分的关系
BMC Oral Health. 2018 Aug 9;18(1):138. doi: 10.1186/s12903-018-0601-8.
6
Experimental Psychological Stress on Quantitative Sensory Testing Response in Patients with Temporomandibular Disorders.实验性心理应激对颞下颌关节紊乱病患者定量感觉测试反应的影响。
J Oral Facial Pain Headache. 2018 Fall;32(4):428–435. doi: 10.11607/ofph.2046. Epub 2018 May 15.
7
Endogenous pain modulation in chronic orofacial pain: a systematic review and meta-analysis.慢性口腔颌面部疼痛的内源性疼痛调制:系统评价和荟萃分析。
Pain. 2018 Aug;159(8):1441-1455. doi: 10.1097/j.pain.0000000000001263.
8
Evidence for Central Sensitization in Patients with Temporomandibular Disorders: A Systematic Review and Meta-analysis of Observational Studies.颞下颌关节紊乱症患者中枢敏化的证据:一项观察性研究的系统评价和荟萃分析
Pain Pract. 2018 Mar;18(3):388-409. doi: 10.1111/papr.12604. Epub 2017 Jul 11.
9
Psychosocial and Somatosensory Factors in Women with Chronic Migraine and Painful Temporomandibular Disorders.慢性偏头痛和疼痛性颞下颌关节紊乱症女性的心理社会因素和躯体感觉因素
Pain Res Manag. 2016;2016:3945673. doi: 10.1155/2016/3945673. Epub 2016 Oct 13.
10
Thermal temporal summation and decay of after-sensations in temporomandibular myofascial pain patients with and without comorbid fibromyalgia.伴有和不伴有合并纤维肌痛的颞下颌肌筋膜疼痛患者的热时间总和及后感觉衰退
J Pain Res. 2016 Sep 12;9:641-52. doi: 10.2147/JPR.S109038. eCollection 2016.