Suppr超能文献

天文非晶态固体水表面上益生元分子NHCHO的形成:精确的隧穿速率计算。

Formation of the prebiotic molecule NHCHO on astronomical amorphous solid water surfaces: accurate tunneling rate calculations.

作者信息

Song Lei, Kästner Johannes

机构信息

Institute for Theoretical Chemistry, University of Stuttgart, Pfaffenwaldring 55, 70569 Stuttgart, Germany.

出版信息

Phys Chem Chem Phys. 2016 Oct 26;18(42):29278-29285. doi: 10.1039/c6cp05727f.

Abstract

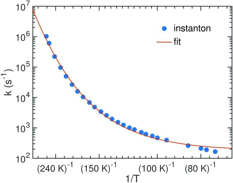
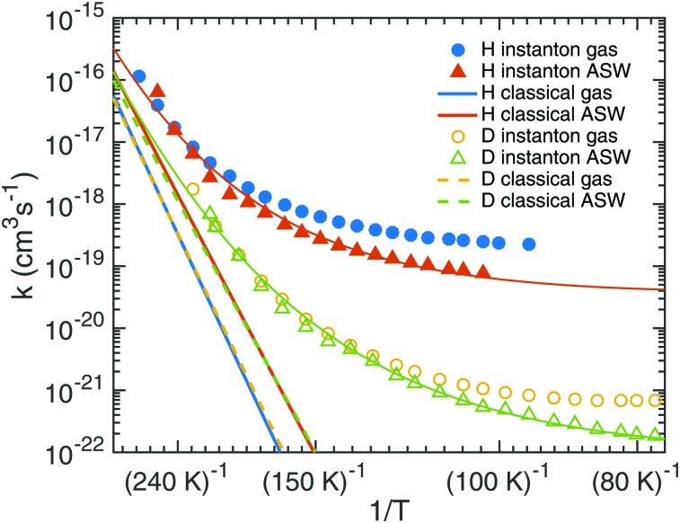
Investigating how formamide forms in the interstellar medium is a hot topic in astrochemistry, which can contribute to our understanding of the origin of life on Earth. We have constructed a QM/MM model to simulate the hydrogenation of isocyanic acid on amorphous solid water surfaces to form formamide. The binding energy of HNCO on the ASW surface varies significantly between different binding sites, we found values between ∼0 and 100 kJ mol. The barrier for the hydrogenation reaction is almost independent of the binding energy, though. We calculated tunneling rate constants of H + HNCO → NHCO at temperatures down to 103 K combining QM/MM with instanton theory. Tunneling dominates the reaction at such low temperatures. The tunneling reaction is hardly accelerated by the amorphous solid water surface compared to the gas phase for this system, even though the activation energy of the surface reaction is lower than the one of the gas-phase reaction. Both the height and width of the barrier affect the tunneling rate in practice. Strong kinetic isotope effects were observed by comparing to rate constants of D + HNCO → NHDCO. At 103 K we found a KIE of 231 on the surface and 146 in the gas phase. Furthermore, we investigated the gas-phase reaction NH + HCO → NHCHO + H and found it unlikely to occur at cryogenic temperatures. The data of our tunneling rate constants are expected to significantly influence astrochemical models.

摘要

研究甲酰胺如何在星际介质中形成是天体化学中的一个热门话题,这有助于我们理解地球上生命的起源。我们构建了一个量子力学/分子力学(QM/MM)模型,以模拟异氰酸在无定形固态水表面上氢化形成甲酰胺的过程。HNCO在无定形固态水表面上的结合能在不同结合位点之间有显著差异,我们发现其值在约0至100 kJ/mol之间。不过,氢化反应的势垒几乎与结合能无关。我们结合量子力学/分子力学与瞬子理论,计算了温度低至103 K时H + HNCO → NHCO的隧穿速率常数。在如此低温下,隧穿主导了反应。对于该体系,与气相相比,无定形固态水表面几乎没有加速隧穿反应,尽管表面反应的活化能低于气相反应的活化能。实际上,势垒的高度和宽度都影响隧穿速率。通过比较D + HNCO → NHDCO的速率常数,观察到了强烈的动力学同位素效应。在103 K时,我们发现在表面上动力学同位素效应为231,在气相中为146。此外,我们研究了气相反应NH + HCO → NHCHO + H,发现它在低温下不太可能发生。我们的隧穿速率常数数据预计将对天体化学模型产生重大影响。

https://cdn.ncbi.nlm.nih.gov/pmc/blobs/3bcd/5317214/8f0fada57e4e/c6cp05727f-f1.jpg

文献AI研究员

20分钟写一篇综述,助力文献阅读效率提升50倍。

立即体验

用中文搜PubMed

大模型驱动的PubMed中文搜索引擎

马上搜索

文档翻译

学术文献翻译模型,支持多种主流文档格式。

立即体验