Suppr超能文献

丧亲相关悲伤症状及并发症风险综合评估工具的初步验证:丧亲适应指标-克鲁斯苏格兰量表(IBACS)

Initial Validation of a Comprehensive Assessment Instrument for Bereavement-Related Grief Symptoms and Risk of Complications: The Indicator of Bereavement Adaptation-Cruse Scotland (IBACS).

作者信息

Newsom Catherine, Schut Henk, Stroebe Margaret S, Wilson Stewart, Birrell John

机构信息

Department of Clinical Psychology, Utrecht University, Utrecht, The Netherlands.

Department of Clinical Psychology and Experimental Psychopathology, University of Groningen, Groningen, The Netherlands.

出版信息

PLoS One. 2016 Oct 14;11(10):e0164005. doi: 10.1371/journal.pone.0164005. eCollection 2016.

Abstract

OBJECTIVE

This study assessed the validity of the Indicator of Bereavement Adaptation Cruse Scotland (IBACS). Designed for use in clinical and non-clinical settings, the IBACS measures severity of grief symptoms and risk of developing complications.

METHOD

N = 196 (44 male, 152 female) help-seeking, bereaved Scottish adults participated at two timepoints: T1 (baseline) and T2 (after 18 months). Four validated assessment instruments were administered: CORE-R, ICG-R, IES-R, SCL-90-R. Discriminative ability was assessed using ROC curve analysis. Concurrent validity was tested through correlation analysis at T1. Predictive validity was assessed using correlation analyses and ROC curve analysis. Optimal IBACS cutoff values were obtained by calculating a maximal Youden index J in ROC curve analysis. Clinical implications were compared across instruments.

RESULTS

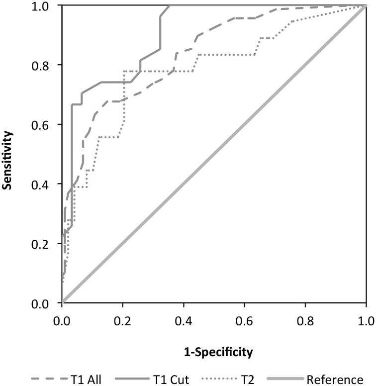
ROC curve analysis results (AUC = .84, p < .01, 95% CI between .77 and .90) indicated the IBACS is a good diagnostic instrument for assessing complicated grief. Positive correlations (p < .01, 2-tailed) with all four instruments at T1 demonstrated the IBACS' concurrent validity, strongest with complicated grief measures (r = .82). Predictive validity was shown to be fair in T2 ROC curve analysis results (n = 67, AUC = .78, 95% CI between .65 and .92; p < .01). Predictive validity was also supported by stable positive correlations between IBACS and other instruments at T2. Clinical indications were found not to differ across instruments.

CONCLUSIONS

The IBACS offers effective grief symptom and risk assessment for use by non-clinicians. Indications are sufficient to support intake assessment for a stepped model of bereavement intervention.

摘要

目的

本研究评估了苏格兰克鲁斯丧亲适应指标(IBACS)的有效性。IBACS旨在用于临床和非临床环境,用于测量悲伤症状的严重程度以及出现并发症的风险。

方法

196名(44名男性,152名女性)寻求帮助的丧亲苏格兰成年人在两个时间点参与研究:T1(基线)和T2(18个月后)。使用了四种经过验证的评估工具:CORE-R、ICG-R、IES-R、SCL-90-R。使用ROC曲线分析评估判别能力。在T1通过相关性分析测试同时效度。使用相关性分析和ROC曲线分析评估预测效度。通过在ROC曲线分析中计算最大约登指数J来获得最佳的IBACS临界值。比较了各工具之间的临床意义。

结果

ROC曲线分析结果(AUC = 0.84,p < 0.01,95%CI在0.77至0.90之间)表明,IBACS是评估复杂性悲伤的良好诊断工具。在T1与所有四种工具的正相关(p < 0.01,双侧)证明了IBACS的同时效度,与复杂性悲伤测量的相关性最强(r = 0.82)。在T2的ROC曲线分析结果中显示预测效度尚可(n = 67,AUC = 0.78,95%CI在0.65至0.92之间;p < 0.01)。T2时IBACS与其他工具之间稳定的正相关也支持了预测效度。发现各工具之间的临床指征没有差异。

结论

IBACS为非临床医生提供了有效的悲伤症状和风险评估。指征足以支持对丧亲干预阶梯模型的入院评估。

https://cdn.ncbi.nlm.nih.gov/pmc/blobs/96fd/5065141/9dec8e4cd44d/pone.0164005.g001.jpg

相似文献

3
The grief evaluation measure (GEM): an initial validation study.
Death Stud. 2005 May;29(4):301-32. doi: 10.1080/07481180590923706.
4
Comparison of two diagnostic systems for Complicated Grief.
J Affect Disord. 2007 Apr;99(1-3):203-11. doi: 10.1016/j.jad.2006.09.013. Epub 2006 Oct 18.
5
Screening for Complicated Grief in a Military Mental Health Clinic.
Mil Med. 2017 Sep;182(9):e1751-e1756. doi: 10.7205/MILMED-D-17-00003.
6
The Grief and Meaning Reconstruction Inventory (GMRI): Initial Validation of a New Measure.
Death Stud. 2015 Jan-Jun;39(1-5):61-74. doi: 10.1080/07481187.2014.907089. Epub 2014 Oct 28.
7
Inventory of complicated spiritual grief: development and validation of a new measure.
Death Stud. 2014 Jan-Jun;38(1-5):239-50. doi: 10.1080/07481187.2013.810098. Epub 2013 Nov 11.
8
Cognitive reappraisal, emotional expression and mindfulness in adaptation to bereavement: a longitudinal study.
Anxiety Stress Coping. 2023 Sep;36(5):577-589. doi: 10.1080/10615806.2023.2165647. Epub 2023 Jan 13.
10
Inventory of Complicated Grief: a scale to measure maladaptive symptoms of loss.
Psychiatry Res. 1995 Nov 29;59(1-2):65-79. doi: 10.1016/0165-1781(95)02757-2.

引用本文的文献

1
What functions do palliative care bereavement services deliver? A scoping review.
Palliat Care Soc Pract. 2025 Mar 22;19:26323524251326947. doi: 10.1177/26323524251326947. eCollection 2025.
2
Effectiveness of bereavement counselling through a community-based organization: A naturalistic, controlled trial.
Clin Psychol Psychother. 2017 Nov;24(6):O1512-O1523. doi: 10.1002/cpp.2113. Epub 2017 Aug 29.

本文引用的文献

1
Telephone versus in-person intake assessment for bereavement intervention: Does efficiency come at a cost?
Death Stud. 2016;40(2):71-9. doi: 10.1080/07481187.2015.1068244. Epub 2015 Nov 30.
2
Who needs bereavement support? A population based survey of bereavement risk and support need.
PLoS One. 2015 Mar 26;10(3):e0121101. doi: 10.1371/journal.pone.0121101. eCollection 2015.
3
A scoping review of bereavement risk assessment measures: Implications for palliative care.
Palliat Med. 2015 Jul;29(7):577-89. doi: 10.1177/0269216315576262. Epub 2015 Mar 24.
4
The economic cost of bereavement in Scotland.
Death Stud. 2015 Jan-Jun;39(1-5):151-7. doi: 10.1080/07481187.2014.920435. Epub 2015 Jan 28.
5
Bereavement: course, consequences, and care.
Curr Psychiatry Rep. 2014 Oct;16(10):482. doi: 10.1007/s11920-014-0482-8.
6
Bridging the gaps in palliative care bereavement support: an international perspective.
Death Stud. 2014 Jan-Jun;38(1-5):54-61. doi: 10.1080/07481187.2012.725451. Epub 2013 Aug 9.
7
9
Identifying vulnerability in grief: psychometric properties of the Adult Attitude to Grief Scale.
Qual Life Res. 2014 May;23(4):1211-20. doi: 10.1007/s11136-013-0551-1. Epub 2013 Oct 16.

文献AI研究员

20分钟写一篇综述,助力文献阅读效率提升50倍。

立即体验

用中文搜PubMed

大模型驱动的PubMed中文搜索引擎

马上搜索

文档翻译

学术文献翻译模型,支持多种主流文档格式。

立即体验