Boonstra Anne M, Stewart Roy E, Köke Albère J A, Oosterwijk René F A, Swaan Jeannette L, Schreurs Karlein M G, Schiphorst Preuper Henrica R
'Revalidatie Friesland' Centre for Rehabilitation Beetsterzwaag, Netherlands.
Department of Health Sciences, Community and Occupational Medicine, University Medical Centre Groningen, University of Groningen Groningen, Netherlands.
Front Psychol. 2016 Sep 30;7:1466. doi: 10.3389/fpsyg.2016.01466. eCollection 2016.
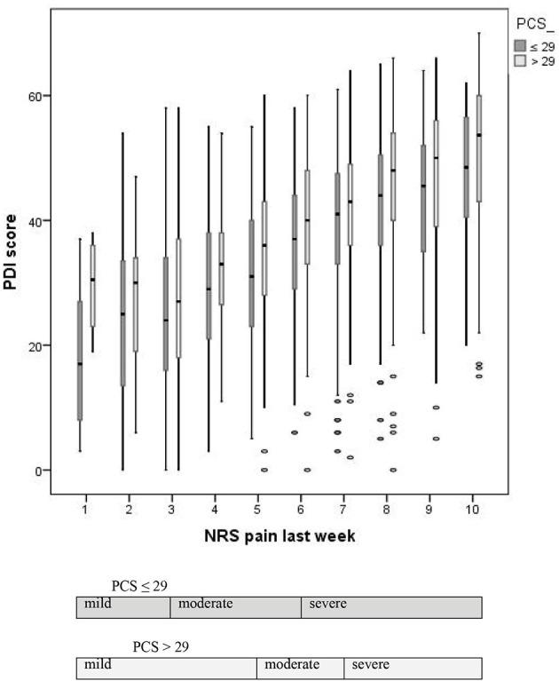
The 0-10 Numeric Rating Scale (NRS) is often used in pain management. The aims of our study were to determine the cut-off points for mild, moderate, and severe pain in terms of pain-related interference with functioning in patients with chronic musculoskeletal pain, to measure the variability of the optimal cut-off points, and to determine the influence of patients' catastrophizing and their sex on these cut-off points. 2854 patients were included. Pain was assessed by the NRS, functioning by the Pain Disability Index (PDI) and catastrophizing by the Pain Catastrophizing Scale (PCS). Cut-off point schemes were tested using ANOVAs with and without using the PSC scores or sex as co-variates and with the interaction between CP scheme and PCS score and sex, respectively. The variability of the optimal cut-off point schemes was quantified using bootstrapping procedure. The study showed that NRS scores ≤ 5 correspond to mild, scores of 6-7 to moderate and scores ≥8 to severe pain in terms of pain-related interference with functioning. Bootstrapping analysis identified this optimal NRS cut-off point scheme in 90% of the bootstrapping samples. The interpretation of the NRS is independent of sex, but seems to depend on catastrophizing. In patients with high catastrophizing tendency, the optimal cut-off point scheme equals that for the total study sample, but in patients with a low catastrophizing tendency, NRS scores ≤ 3 correspond to mild, scores of 4-6 to moderate and scores ≥7 to severe pain in terms of interference with functioning. In these optimal cut-off schemes, NRS scores of 4 and 5 correspond to moderate interference with functioning for patients with low catastrophizing tendency and to mild interference for patients with high catastrophizing tendency. Theoretically one would therefore expect that among the patients with NRS scores 4 and 5 there would be a higher average PDI score for those with low catastrophizing than for those with high catastrophizing. However, we found the opposite. The fact that we did not find the same optimal CP scheme in the subgroups with lower and higher catastrophizing tendency may be due to chance variability.
0至10数字评分量表(NRS)常用于疼痛管理。我们研究的目的是确定慢性肌肉骨骼疼痛患者中,根据与疼痛相关的功能干扰来划分轻度、中度和重度疼痛的临界点,测量最佳临界点的变异性,并确定患者的灾难化思维及其性别对这些临界点的影响。共纳入2854例患者。采用NRS评估疼痛,疼痛残疾指数(PDI)评估功能,疼痛灾难化量表(PCS)评估灾难化思维。分别使用有无PCS评分或性别作为协变量的方差分析,以及CP方案与PCS评分和性别的交互作用,对临界点方案进行检验。使用自抽样程序对最佳临界点方案的变异性进行量化。研究表明,就与疼痛相关的功能干扰而言,NRS评分≤5对应轻度疼痛,6至7分对应中度疼痛,≥8分对应重度疼痛。自抽样分析在90%的自抽样样本中确定了这一最佳NRS临界点方案。NRS的解读与性别无关,但似乎取决于灾难化思维。在灾难化倾向高的患者中,最佳临界点方案与整个研究样本的相同,但在灾难化倾向低的患者中,就功能干扰而言,NRS评分≤3对应轻度疼痛,4至6分对应中度疼痛,≥7分对应重度疼痛。在这些最佳临界点方案中,NRS评分为4和5时,对于灾难化倾向低的患者对应中度功能干扰,对于灾难化倾向高的患者对应轻度功能干扰。因此从理论上讲,在NRS评分为4和5的患者中,灾难化倾向低的患者的平均PDI评分应高于灾难化倾向高的患者。然而,我们发现情况相反。在灾难化倾向较低和较高的亚组中未找到相同的最佳CP方案,这一事实可能是由于随机变异性。