• 文献检索
  • 文档翻译
  • 深度研究
  • 学术资讯
  • Suppr Zotero 插件Zotero 插件
  • 邀请有礼
  • 套餐&价格
  • 历史记录
应用&插件
Suppr Zotero 插件Zotero 插件浏览器插件Mac 客户端Windows 客户端微信小程序
定价
高级版会员购买积分包购买API积分包
服务
文献检索文档翻译深度研究API 文档MCP 服务
关于我们
关于 Suppr公司介绍联系我们用户协议隐私条款
关注我们

Suppr 超能文献

核心技术专利:CN118964589B侵权必究
粤ICP备2023148730 号-1Suppr @ 2026

文献检索

告别复杂PubMed语法,用中文像聊天一样搜索,搜遍4000万医学文献。AI智能推荐,让科研检索更轻松。

立即免费搜索

文件翻译

保留排版,准确专业,支持PDF/Word/PPT等文件格式,支持 12+语言互译。

免费翻译文档

深度研究

AI帮你快速写综述,25分钟生成高质量综述,智能提取关键信息,辅助科研写作。

立即免费体验

测量Caco-2细胞培养物中的氧水平。

Measuring oxygen levels in Caco-2 cultures.

作者信息

Zeitouni Nathalie E, Fandrey Joachim, Naim Hassan Y, von Köckritz-Blickwede Maren

机构信息

Department of Physiological Chemistry, University of Veterinary Medicine Hannover.

Institute of Physiology, University Clinics Essen, University of Duisburg-Essen, Essen.

出版信息

Hypoxia (Auckl). 2015 Oct 9;3:53-66. doi: 10.2147/HP.S85625. eCollection 2015.

DOI:10.2147/HP.S85625
PMID:27774482
原文链接:https://pmc.ncbi.nlm.nih.gov/articles/PMC5045089/
Abstract

PURPOSE

Measuring oxygen levels in three different systems of Caco-2 cell culture.

METHODS

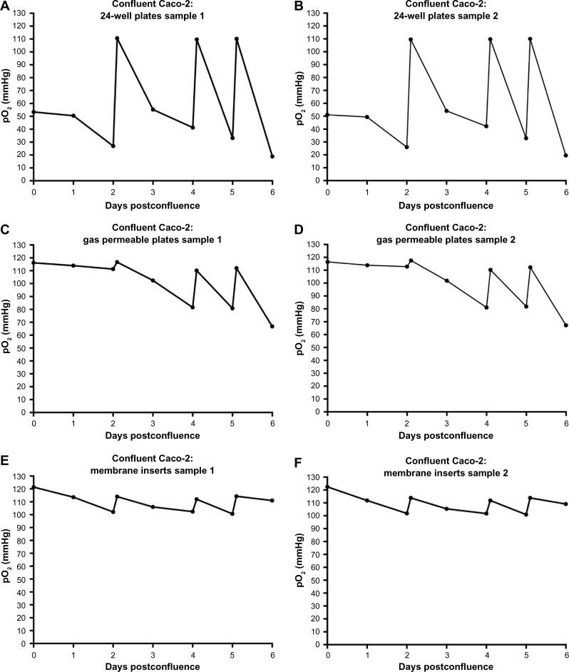
Caco-2 cells were cultured in three different systems, using conventional polystyrene 24-well plates, special 24-well gas permeable plates, or on membrane inserts in conventional plates. Optical sensor spots were used to measure dissolved O levels in these cultured cells over the course of 6 days under normoxia (143 mmHg) and for 6 hours under hypoxia (7 mmHg). Western blot analysis was used to determine the protein levels of hypoxia-inducible factor 1α (HIF-1α) in the different cultures.

RESULTS

All culture systems displayed lower O levels over time than expected when cultured under normoxia conditions. On average, O levels reached as low as 25 mmHg in 24-well plates but remained at 97 and 117 mmHg in gas permeable plates and membrane inserts, respectively. Under hypoxia, 1 mL cell cultures equilibrated to 7 mmHg O within the first 60 minutes and dropped to 0.39 and 0.61 mmHg O in 24-well and gas permeable plates, respectively, after the 6-hour incubation period. Cultures in membrane inserts did not equilibrate to 7 mmHg by the end of the 6-hour incubation period, where the lowest O measurements reached 23.12 mmHg. Western blots of HIF-1α protein level in the whole cell lysates of the different Caco-2 cultures revealed distinct stabilization of HIF-1α after hypoxic incubation for 1, 2, and 4 hours in 24-well plates as well as gas permeable plates. For membrane inserts, notable HIF-1α was seen after 4 hours of hypoxic incubation.

CONCLUSION

Cellular oxygen depletion was achieved in different hypoxic Caco-2 culture systems. However, different oxygen levels comparing different culture systems indicate that O level should be carefully considered in oxygen-dependent experiments.

摘要

目的

测量Caco-2细胞培养的三种不同系统中的氧水平。

方法

将Caco-2细胞培养于三种不同系统中,分别使用传统聚苯乙烯24孔板、特殊的24孔透气板或传统板中的膜插入物。在常氧(143 mmHg)条件下培养6天以及在低氧(7 mmHg)条件下培养6小时的过程中,使用光学传感器点来测量这些培养细胞中的溶解氧水平。采用蛋白质免疫印迹分析来测定不同培养物中缺氧诱导因子1α(HIF-1α)的蛋白质水平。

结果

在常氧条件下培养时,所有培养系统随时间推移显示的氧水平均低于预期。平均而言,24孔板中的氧水平低至25 mmHg,但透气板和膜插入物中的氧水平分别保持在97 mmHg和117 mmHg。在低氧条件下,1 mL细胞培养物在最初60分钟内平衡至7 mmHg的氧水平,在6小时孵育期后,24孔板和透气板中的氧水平分别降至0.39 mmHg和0.61 mmHg。膜插入物中的培养物在6小时孵育期结束时未平衡至7 mmHg,最低氧测量值达到23.12 mmHg。不同Caco-2培养物全细胞裂解物中HIF-1α蛋白质水平的蛋白质免疫印迹显示,在24孔板和透气板中低氧孵育1、2和4小时后,HIF-1α有明显的稳定。对于膜插入物,低氧孵育4小时后可见明显的HIF-1α。

结论

在不同的低氧Caco-2培养系统中实现了细胞氧耗竭。然而,不同培养系统之间不同的氧水平表明,在依赖氧的实验中应仔细考虑氧水平。

https://cdn.ncbi.nlm.nih.gov/pmc/blobs/846b/5045089/ac608a484caa/hp-3-053Fig4.jpg
https://cdn.ncbi.nlm.nih.gov/pmc/blobs/846b/5045089/6a03b18c9a7e/hp-3-053Fig1.jpg
https://cdn.ncbi.nlm.nih.gov/pmc/blobs/846b/5045089/e72ed2959049/hp-3-053Fig2.jpg
https://cdn.ncbi.nlm.nih.gov/pmc/blobs/846b/5045089/b16bc6241ac5/hp-3-053Fig3.jpg
https://cdn.ncbi.nlm.nih.gov/pmc/blobs/846b/5045089/ac608a484caa/hp-3-053Fig4.jpg
https://cdn.ncbi.nlm.nih.gov/pmc/blobs/846b/5045089/6a03b18c9a7e/hp-3-053Fig1.jpg
https://cdn.ncbi.nlm.nih.gov/pmc/blobs/846b/5045089/e72ed2959049/hp-3-053Fig2.jpg
https://cdn.ncbi.nlm.nih.gov/pmc/blobs/846b/5045089/b16bc6241ac5/hp-3-053Fig3.jpg
https://cdn.ncbi.nlm.nih.gov/pmc/blobs/846b/5045089/ac608a484caa/hp-3-053Fig4.jpg

相似文献

1
Measuring oxygen levels in Caco-2 cultures.测量Caco-2细胞培养物中的氧水平。
Hypoxia (Auckl). 2015 Oct 9;3:53-66. doi: 10.2147/HP.S85625. eCollection 2015.
2
[Effects of hypoxia inducible factor-1α on P311 and its influence on the migration of murine epidermal stem cells].缺氧诱导因子-1α对P311的影响及其对小鼠表皮干细胞迁移的作用
Zhonghua Shao Shang Za Zhi. 2017 May 20;33(5):287-294. doi: 10.3760/cma.j.issn.1009-2587.2017.05.007.
3
[Protective effects and mechanism of keratinocyte growth factor combined with hypoxia inducible factor-1α on intestinal crypt epithelial cells of rats with hypoxia stress].角质形成细胞生长因子联合缺氧诱导因子-1α对缺氧应激大鼠肠隐窝上皮细胞的保护作用及机制
Zhonghua Shao Shang Za Zhi. 2019 Jan 20;35(1):54-61. doi: 10.3760/cma.j.issn.1009-2587.2019.01.010.
4
[Hypoxia/reoxygenation and lipopolysaccharide induced nuclear factor-ΚB and hypoxia-inducible factor-1α signaling pathways in intestinal epithelial cell injury and the interventional effect of emodin].[缺氧/复氧及脂多糖诱导核因子-κB和缺氧诱导因子-1α信号通路在肠上皮细胞损伤中的作用及大黄素的干预效应]
Zhonghua Wei Zhong Bing Ji Jiu Yi Xue. 2014 Jun;26(6):409-14. doi: 10.3760/cma.j.issn.2095-4352.2014.06.009.
5
Increased activation of the hypoxia-inducible factor pathway in varicose veins.静脉曲胀中缺氧诱导因子通路的激活增加。
J Vasc Surg. 2012 May;55(5):1427-39. doi: 10.1016/j.jvs.2011.10.111. Epub 2012 Jan 24.
6
Effects of hypoxia inducible factor-1α on apoptotic inhibition and glucocorticoid receptor downregulation by dexamethasone in AtT-20 cells.缺氧诱导因子-1α对阿特T-20细胞中地塞米松诱导的凋亡抑制和糖皮质激素受体下调的影响。
BMC Endocr Disord. 2015 May 23;15:24. doi: 10.1186/s12902-015-0017-2.
7
Co-transactivation of the 3' erythropoietin hypoxia inducible enhancer by the HIF-1 protein.低氧诱导因子-1蛋白对促红细胞生成素3'端低氧诱导增强子的共激活作用。
Blood Cells Mol Dis. 1997 Aug;23(2):169-76. doi: 10.1006/bcmd.1997.0134.
8
The expression of hypoxia-inducible factor-1α gene is not affected by low-oxygen conditions in yellow perch (Perca flavescens) juveniles.低氧条件对黄斑鲈(Perca flavescens)幼鱼缺氧诱导因子-1α基因的表达无影响。
Fish Physiol Biochem. 2017 Jun;43(3):849-862. doi: 10.1007/s10695-017-0340-9. Epub 2017 Jan 18.
9
Effects of 2-methoxyestradiol on apoptosis and HIF-1α and HIF-2α expression in lung cancer cells under normoxia and hypoxia.2-甲氧基雌二醇对常氧和低氧条件下肺癌细胞凋亡及HIF-1α和HIF-2α表达的影响
Oncol Rep. 2016 Jan;35(1):577-83. doi: 10.3892/or.2015.4399. Epub 2015 Nov 4.
10
Tonic activation of hypoxia-inducible factor 1alpha in avascular articular cartilage and implications for metabolic homeostasis.缺氧诱导因子1α在无血管关节软骨中的张力激活及其对代谢稳态的影响
Arthritis Rheum. 2005 Oct;52(10):3181-91. doi: 10.1002/art.21346.

引用本文的文献

1
A novel system to culture human intestinal organoids under physiological oxygen content to study microbial-host interaction.一种在生理氧含量下培养人类肠道类器官的新系统,用于研究微生物-宿主相互作用。
PLoS One. 2024 Jul 25;19(7):e0300666. doi: 10.1371/journal.pone.0300666. eCollection 2024.
2
Generation of Porcine and Rainbow Trout 3D Intestinal Models and Their Use to Investigate Astaxanthin Effects In Vitro.猪和虹鳟鱼 3D 肠道模型的构建及其在体外研究虾青素作用中的应用。
Int J Mol Sci. 2024 May 29;25(11):5966. doi: 10.3390/ijms25115966.
3
Sensor-integrated brain-on-a-chip platforms: Improving the predictive validity in neurodegenerative research.

本文引用的文献

1
The inflammatory tissue microenvironment in IBD.炎症性肠病的组织微环境。
Inflamm Bowel Dis. 2013 Sep;19(10):2238-44. doi: 10.1097/MIB.0b013e31828dcaaf.
2
Hypoxia-inducible factors in physiology and medicine.缺氧诱导因子在生理学和医学中的作用
Cell. 2012 Feb 3;148(3):399-408. doi: 10.1016/j.cell.2012.01.021.
3
Why is the partial oxygen pressure of human tissues a crucial parameter? Small molecules and hypoxia.为什么人体组织的部分氧分压是一个关键参数?小分子和缺氧。
集成传感器的芯片上脑平台:提高神经退行性疾病研究中的预测效度。
Bioeng Transl Med. 2023 Oct 18;9(3):e10604. doi: 10.1002/btm2.10604. eCollection 2024 May.
4
Assessing MTT and sulforhodamine B cell proliferation assays under multiple oxygen environments.在多种氧环境下评估MTT和磺酰罗丹明B细胞增殖试验。
Cytotechnology. 2023 Oct;75(5):381-390. doi: 10.1007/s10616-023-00584-0. Epub 2023 Jul 5.
5
Drivers of transcriptional variance in human intestinal epithelial organoids.人类肠道类器官中转录变异的驱动因素。
Physiol Genomics. 2021 Nov 1;53(11):486-508. doi: 10.1152/physiolgenomics.00061.2021. Epub 2021 Oct 6.
6
In vivo oxygen measurement in cerebrospinal fluid of pigs to determine physiologic and pathophysiologic oxygen values during CNS infections.在猪的脑脊液中进行体内氧测量,以确定中枢神经系统感染期间的生理和病理生理氧值。
BMC Neurosci. 2021 Jun 28;22(1):45. doi: 10.1186/s12868-021-00648-x.
7
Creating a More Perfect Union: Modeling Intestinal Bacteria-Epithelial Interactions Using Organoids.创建更完美的联盟:使用类器官模型研究肠道细菌-上皮相互作用。
Cell Mol Gastroenterol Hepatol. 2021;12(2):769-782. doi: 10.1016/j.jcmgh.2021.04.010. Epub 2021 Apr 22.
8
Relevance of the Warburg Effect in Tuberculosis for Host-Directed Therapy.瓦伯格效应在结核病宿主导向治疗中的相关性
Front Cell Infect Microbiol. 2020 Sep 18;10:576596. doi: 10.3389/fcimb.2020.576596. eCollection 2020.
9
Flow-Encoded Oxygen Control to Track the Time-Dependence of Molecular Changes Induced by Static or Cycling Hypoxia.流动编码氧控制跟踪静态或循环缺氧诱导的分子变化的时间依赖性。
Anal Chem. 2019 Dec 3;91(23):15032-15039. doi: 10.1021/acs.analchem.9b03709. Epub 2019 Nov 19.
10
A Robust Longitudinal Co-culture of Obligate Anaerobic Gut Microbiome With Human Intestinal Epithelium in an Anoxic-Oxic Interface-on-a-Chip.一种在缺氧-有氧芯片界面上实现专性厌氧肠道微生物群与人类肠上皮细胞的稳健纵向共培养。
Front Bioeng Biotechnol. 2019 Feb 7;7:13. doi: 10.3389/fbioe.2019.00013. eCollection 2019.
J Cell Mol Med. 2011 Jun;15(6):1239-53. doi: 10.1111/j.1582-4934.2011.01258.x.
4
The Warburg and Crabtree effects: On the origin of cancer cell energy metabolism and of yeast glucose repression.瓦尔堡效应和克勒布特里效应:论癌细胞能量代谢的起源及酵母的葡萄糖阻遏现象
Biochim Biophys Acta. 2011 Jun;1807(6):568-76. doi: 10.1016/j.bbabio.2010.08.010. Epub 2010 Sep 8.
5
Adaptation to oxygen deprivation in cultures of human pluripotent stem cells, endothelial progenitor cells, and umbilical vein endothelial cells.人多能干细胞、内皮祖细胞和脐静脉内皮细胞培养物中的氧剥夺适应。
Am J Physiol Cell Physiol. 2010 Jun;298(6):C1527-37. doi: 10.1152/ajpcell.00484.2009. Epub 2010 Feb 24.
6
Oxygen sensors in context.上下文环境中的氧传感器。
Biochim Biophys Acta. 2008 Jan;1777(1):1-14. doi: 10.1016/j.bbabio.2007.10.010. Epub 2007 Nov 1.
7
Hypoxia inducible factor (HIF) function in innate immunity and infection.缺氧诱导因子(HIF)在固有免疫和感染中的作用。
J Mol Med (Berl). 2007 Dec;85(12):1339-46. doi: 10.1007/s00109-007-0282-2. Epub 2007 Nov 21.
8
Hypoxia and gastrointestinal disease.缺氧与胃肠道疾病。
J Mol Med (Berl). 2007 Dec;85(12):1295-300. doi: 10.1007/s00109-007-0277-z. Epub 2007 Nov 20.
9
Cell-specific regulation of hypoxia-inducible factor (HIF)-1alpha and HIF-2alpha stabilization and transactivation in a graded oxygen environment.在分级氧环境中对缺氧诱导因子(HIF)-1α和HIF-2α稳定性及反式激活的细胞特异性调控
J Biol Chem. 2006 Aug 11;281(32):22575-85. doi: 10.1074/jbc.M600288200. Epub 2006 Jun 7.
10
The carbohydrate metabolism of certain pathological overgrowths.某些病理性过度生长的碳水化合物代谢
Biochem J. 1928;22(5):1289-98. doi: 10.1042/bj0221289.