Suppr超能文献

调节小胶质细胞激活的蛋白质酪氨酸磷酸酶的比较分析

Comparative Analysis of Protein Tyrosine Phosphatases Regulating Microglial Activation.

作者信息

Song Gyun Jee, Kim Jaehong, Kim Jong-Heon, Song Seungeun, Park Hana, Zhang Zhong-Yin, Suk Kyoungho

机构信息

Department of Pharmacology, Brain Science & Engineering Institute, BK21 Plus KNU Biomedical Convergence Program, Kyungpook National University School of Medicine, Daegu 41944, Korea.

Department of Medicinal Chemistry and Molecular Pharmacology, Purdue University, IN 47907, USA.

出版信息

Exp Neurobiol. 2016 Oct;25(5):252-261. doi: 10.5607/en.2016.25.5.252. Epub 2016 Oct 20.

Abstract

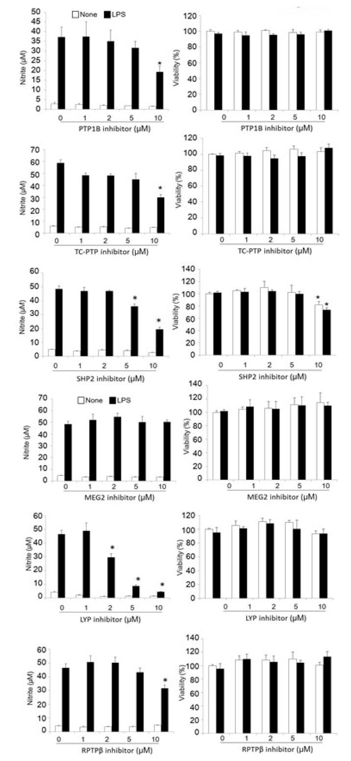
Protein tyrosine phosphatases (PTPs) are key regulatory factors in inflammatory signaling pathways. Although PTPs have been extensively studied, little is known about their role in neuroinflammation. In the present study, we examined the expression of 6 different PTPs (PTP1B, TC-PTP, SHP2, MEG2, LYP, and RPTPβ) and their role in glial activation and neuroinflammation. All PTPs were expressed in brain and glia. The expression of PTP1B, SHP2, and LYP was enhanced in the inflamed brain. The expression of PTP1B, TC-PTP, and LYP was increased after treating microglia cells with lipopolysaccharide (LPS). To examine the role of PTPs in microglial activation and neuroinflammation, we used specific pharmacological inhibitors of PTPs. Inhibition of PTP1B, TC-PTP, SHP2, LYP, and RPTPβ suppressed nitric oxide production in LPS-treated microglial cells in a dose-dependent manner. Furthermore, intracerebroventricular injection of PTP1B, TC-PTP, SHP2, and RPTPβ inhibitors downregulated microglial activation in an LPS-induced neuroinflammation model. Our results indicate that multiple PTPs are involved in regulating microglial activation and neuroinflammation, with different expression patterns and specific functions. Thus, PTP inhibitors can be exploited for therapeutic modulation of microglial activation in neuroinflammatory diseases.

摘要

蛋白酪氨酸磷酸酶(PTPs)是炎症信号通路中的关键调节因子。尽管对PTPs已进行了广泛研究,但对其在神经炎症中的作用却知之甚少。在本研究中,我们检测了6种不同PTPs(PTP1B、TC-PTP、SHP2、MEG2、LYP和RPTPβ)的表达及其在胶质细胞活化和神经炎症中的作用。所有PTPs均在脑和胶质细胞中表达。PTP1B、SHP2和LYP在炎症脑内的表达增强。用脂多糖(LPS)处理小胶质细胞后,PTP1B、TC-PTP和LYP的表达增加。为了检测PTPs在小胶质细胞活化和神经炎症中的作用,我们使用了PTPs的特异性药理抑制剂。抑制PTP1B、TC-PTP、SHP2、LYP和RPTPβ可剂量依赖性地抑制LPS处理的小胶质细胞中一氧化氮的产生。此外,在LPS诱导的神经炎症模型中,脑室内注射PTP1B、TC-PTP、SHP2和RPTPβ抑制剂可下调小胶质细胞的活化。我们的结果表明,多种PTPs参与调节小胶质细胞的活化和神经炎症,具有不同的表达模式和特定功能。因此,PTP抑制剂可用于神经炎症性疾病中小胶质细胞活化的治疗性调节。

https://cdn.ncbi.nlm.nih.gov/pmc/blobs/90ce/5081471/c287deb474cb/en-25-252-g001.jpg

文献检索

告别复杂PubMed语法,用中文像聊天一样搜索,搜遍4000万医学文献。AI智能推荐,让科研检索更轻松。

立即免费搜索

文件翻译

保留排版,准确专业,支持PDF/Word/PPT等文件格式,支持 12+语言互译。

免费翻译文档

深度研究

AI帮你快速写综述,25分钟生成高质量综述,智能提取关键信息,辅助科研写作。

立即免费体验