Suppr超能文献

Thermophysical properties and oxygen transport in (Th,Pu)O.

作者信息

Galvin C O T, Cooper M W D, Rushton M J D, Grimes R W

机构信息

Department of Materials, Imperial College London, London, SW7 2AZ, UK.

Materials Science and Technology Division, Los Alamos National Laboratory, P.O. Box 1663, Los Alamos, New Mexico 87545, USA.

出版信息

Sci Rep. 2016 Oct 31;6:36024. doi: 10.1038/srep36024.

Abstract

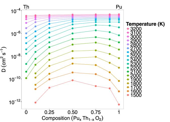
Using Molecular Dynamics, this paper investigates the thermophysical properties and oxygen transport of (Th,Pu)O (0 ≤ x ≤ 1) between 300-3500 K. In particular, the superionic transition is investigated and viewed via the thermal dependence of lattice parameter, linear thermal expansion coefficient, enthalpy and specific heat at constant pressure. Oxygen diffusivity and activation enthalpy are also investigated. Below the superionic temperature an increase of oxygen diffusivity for certain compositions of (Th,Pu)O compared to the pure end members is predicted. Oxygen defect formation enthalpies are also examined, as they underpin the superionic transition temperature and the increase in oxygen diffusivity. The increase in oxygen diffusivity for (Th,Pu)O is explained in terms of lower oxygen defect formation enthalpies for (Th,Pu)O than PuO and ThO, while links are drawn between the superionic transition temperature and oxygen Frenkel disorder.

摘要
https://cdn.ncbi.nlm.nih.gov/pmc/blobs/cdc8/5086840/d45102fa3e4a/srep36024-f1.jpg

文献AI研究员

20分钟写一篇综述,助力文献阅读效率提升50倍。

立即体验

用中文搜PubMed

大模型驱动的PubMed中文搜索引擎

马上搜索

文档翻译

学术文献翻译模型,支持多种主流文档格式。

立即体验