• 文献检索
  • 文档翻译
  • 深度研究
  • 学术资讯
  • Suppr Zotero 插件Zotero 插件
  • 邀请有礼
  • 套餐&价格
  • 历史记录
应用&插件
Suppr Zotero 插件Zotero 插件浏览器插件Mac 客户端Windows 客户端微信小程序
定价
高级版会员购买积分包购买API积分包
服务
文献检索文档翻译深度研究API 文档MCP 服务
关于我们
关于 Suppr公司介绍联系我们用户协议隐私条款
关注我们

Suppr 超能文献

核心技术专利:CN118964589B侵权必究
粤ICP备2023148730 号-1Suppr @ 2026

文献检索

告别复杂PubMed语法,用中文像聊天一样搜索,搜遍4000万医学文献。AI智能推荐,让科研检索更轻松。

立即免费搜索

文件翻译

保留排版,准确专业,支持PDF/Word/PPT等文件格式,支持 12+语言互译。

免费翻译文档

深度研究

AI帮你快速写综述,25分钟生成高质量综述,智能提取关键信息,辅助科研写作。

立即免费体验

帕尔马火腿潜在生长及毒素产生的研究

Study on Potential Growth and Toxin Production in Parma Ham.

作者信息

Merialdi Giuseppe, Ramini Mattia, Parolari Giovanni, Barbuti Silvana, Frustoli Maria Angela, Taddei Roberta, Pongolini Stefano, Ardigò Paolo, Cozzolino Paolo

机构信息

Institute for Experimental Veterinary Medicine of Lombardy and Emilia Romagna , Brescia, Italy.

Experimental Unit for Food Preserves Industry , Parma, Italy.

出版信息

Ital J Food Saf. 2016 Apr 19;5(2):5564. doi: 10.4081/ijfs.2016.5564.

DOI:10.4081/ijfs.2016.5564
PMID:27800441
原文链接:https://pmc.ncbi.nlm.nih.gov/articles/PMC5076734/
Abstract

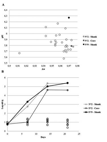
The objective of this study was to investigate growth and toxin production in the industrially manufactured Italian Parma ham. The study focuses on the Parma ham production phase identified as maximum risk to proliferation, . the transition from cold phase (salting and resting) to a phase carried out at temperature between 15 and 23°C (drying). A preliminary test was carried out in order to verify the capability of 6 strains (1 type A, 4 type B, and 1 type E strains) to grow in conditions of temperature, pH and NaCl concentration comparable to those of the beginning stage of ham drying. Five strains grew at 20°C and pH 6, four strains produced toxin when inoculated at a concentration equal to 10 cfu/mL at NaCl concentration of 4%, while when the inoculum concentration was 10 cfu/mL, NaCl concentration of 3% resulted the toxin-genesis limiting factor. An experimental contamination with a mixture of the 5 strains selected by the preliminary test was performed on 9 thighs inoculated at the end of the resting phase. The study was designed to evaluate the potential growth and toxin production in extremely favourable conditions for the bacterium. Type B proteolytic toxin was produced after 14 days of incubation at 20°C in 2 thighs characterised by high weight, low number of days of resting and anomalous physiochemical characteristics [one for very low NaCl concentration (1.59%), the other for elevated pH (6.27) and both for high water activity values (>0.970)]. The results of this research confirm that the cold resting step is a critical phase in the production process of Parma ham for the investigated hazard. Based on the present study, the long resting phase adopted in the manufacturing of Parma ham is proven effective to prevent the growth of , an event which could not otherwise be excluded if the hams were processed under less stringent technological conditions.

摘要

本研究的目的是调查工业化生产的意大利帕尔马火腿中的生长情况和毒素产生情况。该研究聚焦于帕尔马火腿生产阶段中被确定为增殖风险最大的阶段,即从冷阶段(腌制和静置)过渡到在15至23°C温度下进行的阶段(干燥)。进行了一项初步试验,以验证6株菌株(1株A型、4株B型和1株E型菌株)在与火腿干燥初始阶段相当的温度、pH值和NaCl浓度条件下生长的能力。5株菌株在20°C和pH值为6时生长,4株菌株在NaCl浓度为4%时以10 cfu/mL的接种浓度接种时产生毒素,而当接种浓度为10 cfu/mL时,3%的NaCl浓度成为毒素产生的限制因素。对9条在静置阶段结束时接种的大腿进行了由初步试验选择的5株菌株混合物试验性污染。该研究旨在评估在对该细菌极为有利的条件下的潜在生长和毒素产生情况。在20°C下孵育14天后,在2条大腿中产生了B型蛋白水解毒素,这2条大腿具有重量高、静置天数少和理化特性异常的特点[一条NaCl浓度极低(1.59%),另一条pH值升高(6.27),两条的水分活度值均较高(>0.970)]。本研究结果证实,对于所研究的危害,冷静置步骤是帕尔马火腿生产过程中的关键阶段。基于本研究,帕尔马火腿生产中采用的长时间静置阶段被证明可有效防止[细菌名称未给出]的生长,否则如果火腿在不太严格的工艺条件下加工,这一情况无法排除。

https://cdn.ncbi.nlm.nih.gov/pmc/blobs/d47d/5076734/30e75853b876/ijfs-2016-2-5564-g002.jpg
https://cdn.ncbi.nlm.nih.gov/pmc/blobs/d47d/5076734/47be2461e6c5/ijfs-2016-2-5564-g001.jpg
https://cdn.ncbi.nlm.nih.gov/pmc/blobs/d47d/5076734/30e75853b876/ijfs-2016-2-5564-g002.jpg
https://cdn.ncbi.nlm.nih.gov/pmc/blobs/d47d/5076734/47be2461e6c5/ijfs-2016-2-5564-g001.jpg
https://cdn.ncbi.nlm.nih.gov/pmc/blobs/d47d/5076734/30e75853b876/ijfs-2016-2-5564-g002.jpg

相似文献

1
Study on Potential Growth and Toxin Production in Parma Ham.帕尔马火腿潜在生长及毒素产生的研究
Ital J Food Saf. 2016 Apr 19;5(2):5564. doi: 10.4081/ijfs.2016.5564.
2
Influence of reduced levels or suppression of sodium nitrite on the outgrowth and toxinogenesis of psychrotrophic Clostridium botulinum Group II type B in cooked ham.低温生孢梭菌在熟火腿中生长和产毒受亚硝酸盐水平降低或抑制的影响。
Int J Food Microbiol. 2020 Dec 2;334:108853. doi: 10.1016/j.ijfoodmicro.2020.108853. Epub 2020 Aug 30.
3
Effect of High Pressures in Combination with Temperature on the Inactivation of Spores of Nonproteolytic Clostridium botulinum Types B and F.高压结合温度对非蛋白水解性B型和F型肉毒梭菌芽孢灭活的影响
J Food Prot. 2018 Feb;81(2):261-271. doi: 10.4315/0362-028X.JFP-17-175.
4
Effect of Equilibrated pH and Indigenous Spoilage Microorganisms on the Inhibition of Proteolytic Clostridium botulinum Toxin Production in Experimental Meals under Temperature Abuse.平衡pH值和本地腐败微生物对温度滥用条件下实验餐中肉毒梭菌蛋白水解毒素产生抑制作用的影响。
J Food Prot. 2017 Aug;80(8):1252-1258. doi: 10.4315/0362-028X.JFP-17-012.
5
Effect of pH and NaCl on growth from spores of non-proteolytic Clostridium botulinum at chill temperature.pH值和氯化钠对非蛋白水解型肉毒梭菌孢子在冷藏温度下生长的影响。
Lett Appl Microbiol. 1997 Feb;24(2):95-100. doi: 10.1046/j.1472-765x.1997.00348.x.
6
Influence of pH and temperature on the growth of and toxin production by neurotoxigenic strains of Clostridium butyricum type E.
J Food Prot. 2002 Aug;65(8):1267-70. doi: 10.4315/0362-028x-65.8.1267.
7
Synergistic interaction between pH and NaCl in the limits of germination and outgrowth of Clostridium sporogenes and Group I Clostridium botulinum vegetative cells and spores after heat treatment.在热处理后梭状芽孢杆菌和 I 组肉毒梭菌营养细胞和孢子的发芽和生长极限中,pH 值和 NaCl 的协同作用。
Food Microbiol. 2022 Sep;106:104055. doi: 10.1016/j.fm.2022.104055. Epub 2022 May 4.
8
Lack of viable parasites in cured 'Parma Ham' (PDO), following experimental Toxoplasma gondii infection of pigs.经实验性感染刚地弓形虫后, cured 'Parma Ham'(PDO)中缺乏可存活的寄生虫。
Food Microbiol. 2017 Sep;66:157-164. doi: 10.1016/j.fm.2017.04.007. Epub 2017 Apr 22.
9
Characterization and differentiation of Italian Parma, San Daniele and Toscano dry-cured hams: a multi-disciplinary approach.意大利帕尔玛、圣达涅利和托斯卡纳风干火腿的特性和分化:多学科方法。
Meat Sci. 2014 Jan;96(1):288-94. doi: 10.1016/j.meatsci.2013.07.014. Epub 2013 Jul 20.
10
The use of High-Pressure Processing (HPP) to improve the safety and quality of raw coconut (Cocos nucifera L) water.采用高压处理(HPP)技术提高生椰(Cocos nucifera L)水的安全性和质量。
Int J Food Microbiol. 2020 Oct 16;331:108697. doi: 10.1016/j.ijfoodmicro.2020.108697. Epub 2020 May 29.

引用本文的文献

1
Genetic Variability Impacts Genotoxic and Transcriptome Responses in the Human Colon after the Consumption of Processed Red Meat Products and Those with Added Phytochemical Extracts.遗传变异性影响人类结肠在食用加工红肉产品和添加植物化学提取物后的遗传毒性和转录组反应。
Nutrients. 2024 Jan 31;16(3):425. doi: 10.3390/nu16030425.
2
Foodborne Clostridioides Species: Pathogenicity, Virulence and Biocontrol Options.食源性梭状芽孢杆菌属:致病性、毒力及生物防治方法
Microorganisms. 2023 Oct 3;11(10):2483. doi: 10.3390/microorganisms11102483.
3
Replacement of Nitrite in Meat Products by Natural Bioactive Compounds Results in Reduced Exposure to N-Nitroso Compounds: The PHYTOME Project.

本文引用的文献

1
Differences and Similarities Among Proteolytic and Nonproteolytic Strains of Clostridium botulinum Types A, B, E and F: A Review.A型、B型、E型和F型肉毒梭菌蛋白水解和非蛋白水解菌株之间的异同:综述
J Food Prot. 1982 Apr;45(5):466-474. doi: 10.4315/0362-028X-45.5.466.
2
Evolution of nitrate and nitrite during the processing of dry-cured ham with partial replacement of NaCl by other chloride salts.在使用其他氯化盐部分替代 NaCl 加工干腌火腿过程中硝酸盐和亚硝酸盐的演变。
Meat Sci. 2012 Jul;91(3):378-81. doi: 10.1016/j.meatsci.2012.02.017. Epub 2012 Feb 22.
3
The safety of pasteurised in-pack chilled meat products with respect to the foodborne botulism hazard.
用天然生物活性化合物替代肉制品中的亚硝酸盐可减少 N-亚硝基化合物的暴露:PHYTOME 项目。
Mol Nutr Food Res. 2021 Oct;65(20):e2001214. doi: 10.1002/mnfr.202001214. Epub 2021 Aug 27.
巴氏杀菌包装冷藏肉制品在食源性肉毒中毒危害方面的安全性。
Meat Sci. 2005 Jul;70(3):461-75. doi: 10.1016/j.meatsci.2004.07.019.
4
Sensory and texture properties of Italian typical dry-cured hams as related to maturation time and salt content.意大利典型干腌火腿的感官和质地特性与成熟时间和盐含量的关系。
Meat Sci. 2012 Feb;90(2):431-7. doi: 10.1016/j.meatsci.2011.09.001. Epub 2011 Sep 10.
5
Biochemical and sensory changes in dry-cured ham salted with partial replacements of NaCl by other chloride salts.用其他氯化盐部分替代 NaCl 腌制干腌火腿的生化和感官变化。
Meat Sci. 2012 Feb;90(2):361-7. doi: 10.1016/j.meatsci.2011.07.023. Epub 2011 Aug 3.
6
Laboratory diagnostics of botulism.肉毒中毒的实验室诊断
Clin Microbiol Rev. 2006 Apr;19(2):298-314. doi: 10.1128/CMR.19.2.298-314.2006.
7
Hazard and control of group II (non-proteolytic) Clostridium botulinum in modern food processing.现代食品加工中II组(非蛋白水解型)肉毒梭菌的危害与控制
Int J Food Microbiol. 2006 Apr 15;108(1):92-104. doi: 10.1016/j.ijfoodmicro.2005.11.003. Epub 2006 Feb 9.
8
Diet, nutrition and the prevention of chronic diseases.饮食、营养与慢性病预防
World Health Organ Tech Rep Ser. 2003;916:i-viii, 1-149, backcover.
9
Effect of pH and NaCl on growth from spores of non-proteolytic Clostridium botulinum at chill temperature.pH值和氯化钠对非蛋白水解型肉毒梭菌孢子在冷藏温度下生长的影响。
Lett Appl Microbiol. 1997 Feb;24(2):95-100. doi: 10.1046/j.1472-765x.1997.00348.x.
10
[A large outbreak of botulism caused by home cured ham consumption].
Ann Ig. 1995 Nov-Dec;7(6):451-8.