Suppr超能文献

睡眠环境光照强度为 10 勒克斯时,进行工作记忆任务的 fMRI 脑激活减少。

Decrease in fMRI brain activation during working memory performed after sleeping under 10 lux light.

机构信息

Department of Psychiatry, Gil Medical Center, Gachon University, School of Medicine, Incheon, Korea.

Department of Psychiatry, Korea University College of Medicine, Seoul, Korea.

出版信息

Sci Rep. 2016 Nov 9;6:36731. doi: 10.1038/srep36731.

Abstract

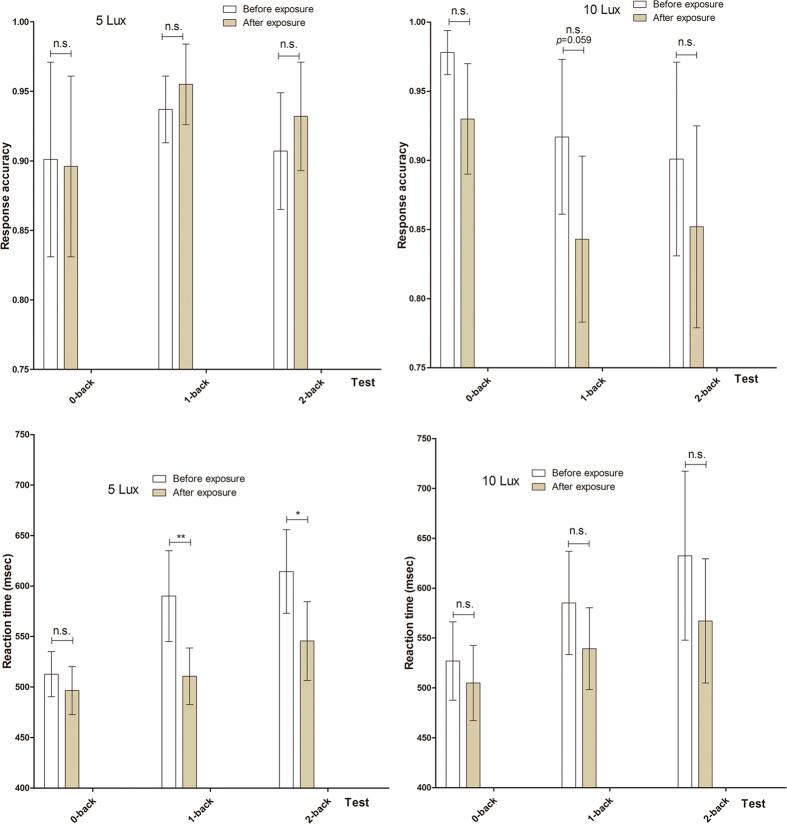
The aim of this study was to investigate the effect of exposure to dim light at night (dLAN) when sleeping on functional brain activation during a working-memory tasks. We conducted the brain functional magnetic resonance imaging (fMRI) analysis on 20 healthy male subjects. All participants slept in a polysomnography laboratory without light exposure on the first and second nights and under a dim-light condition of either 5 or 10 lux on the third night. The fMRI scanning was conducted during n-back tasks after second and third nights. Statistical parametric maps revealed less activation in the right inferior frontal gyrus (IFG) after exposure to 10-lux light. The brain activity in the right and left IFG areas decreased more during the 2-back task than during the 1- or 0-back task in the 10-lux group. The exposure to 5-lux light had no significant effect on brain activities. The exposure to dLAN might influence the brain function which is related to the cognition.

摘要

这项研究的目的是探讨睡眠时夜间(dLAN)暗光暴露对工作记忆任务时大脑功能激活的影响。我们对 20 名健康男性进行了脑功能磁共振成像(fMRI)分析。所有参与者在第一个和第二个晚上都在没有光照的多导睡眠图实验室中睡眠,而在第三个晚上则在 5 或 10 勒克斯的暗光条件下睡眠。在第二个和第三个晚上之后进行 fMRI 扫描,并进行 n-back 任务。统计参数图显示,在暴露于 10 勒克斯光后,右侧下额回(IFG)的激活减少。在 10 勒克斯组中,与 1 或 0 回任务相比,右侧和左侧 IFG 区域的大脑活动在 2 回任务中减少更多。5 勒克斯光的暴露对大脑活动没有显著影响。夜间(dLAN)暗光暴露可能会影响与认知相关的大脑功能。

https://cdn.ncbi.nlm.nih.gov/pmc/blobs/8248/5101482/2610d2f66286/srep36731-f1.jpg

相似文献

2
Males and females differ in brain activation during cognitive tasks.
Neuroimage. 2006 Apr 1;30(2):529-38. doi: 10.1016/j.neuroimage.2005.09.049. Epub 2005 Nov 2.
3
Dim light at night interacts with intermittent hypoxia to alter cognitive and affective responses.
Am J Physiol Regul Integr Comp Physiol. 2013 Jul 1;305(1):R78-86. doi: 10.1152/ajpregu.00100.2013. Epub 2013 May 8.
4
Impact of Exposure to Dim Light at Night on Sleep in Female and Comparison with Male Subjects.
Psychiatry Investig. 2018 May;15(5):520-530. doi: 10.30773/pi.2018.03.17. Epub 2018 Mar 19.
5
Dim nighttime light impairs cognition and provokes depressive-like responses in a diurnal rodent.
J Biol Rhythms. 2012 Aug;27(4):319-27. doi: 10.1177/0748730412448324.
7
A developmental functional MRI study of spatial working memory.
Neuroimage. 1999 Sep;10(3 Pt 1):327-38. doi: 10.1006/nimg.1999.0466.
9
fMRI evidence of brain reorganization during attention and memory tasks in multiple sclerosis.
Neuroimage. 2004 Mar;21(3):858-67. doi: 10.1016/j.neuroimage.2003.10.004.
10
Working memory in schizotypal personality disorder: fMRI activation and deactivation differences.
Schizophr Res. 2013 Dec;151(1-3):113-23. doi: 10.1016/j.schres.2013.09.013. Epub 2013 Oct 23.

引用本文的文献

1
How does the macroenvironment influence brain and behaviour-a review of current status and future perspectives.
Mol Psychiatry. 2024 Oct;29(10):3268-3286. doi: 10.1038/s41380-024-02557-x. Epub 2024 Apr 24.
2
3
Paired test of matrix graphs and brain connectivity analysis.
Biostatistics. 2021 Apr 10;22(2):402-420. doi: 10.1093/biostatistics/kxz037.
4
Impact of Exposure to Dim Light at Night on Sleep in Female and Comparison with Male Subjects.
Psychiatry Investig. 2018 May;15(5):520-530. doi: 10.30773/pi.2018.03.17. Epub 2018 Mar 19.

本文引用的文献

1
Exposure to dim artificial light at night increases REM sleep and awakenings in humans.
Chronobiol Int. 2016;33(1):117-23. doi: 10.3109/07420528.2015.1108980. Epub 2015 Dec 10.
3
Independent associations of exposure to evening light and nocturnal urinary melatonin excretion with diabetes in the elderly.
Chronobiol Int. 2014 Apr;31(3):394-400. doi: 10.3109/07420528.2013.864299. Epub 2013 Dec 11.
5
Nocturnal light exposure impairs affective responses in a wavelength-dependent manner.
J Neurosci. 2013 Aug 7;33(32):13081-7. doi: 10.1523/JNEUROSCI.5734-12.2013.
6
Aberrant light directly impairs mood and learning through melanopsin-expressing neurons.
Nature. 2012 Nov 22;491(7425):594-8. doi: 10.1038/nature11673. Epub 2012 Nov 14.
7
Dim nighttime light impairs cognition and provokes depressive-like responses in a diurnal rodent.
J Biol Rhythms. 2012 Aug;27(4):319-27. doi: 10.1177/0748730412448324.
8
Chronic dim light at night provokes reversible depression-like phenotype: possible role for TNF.
Mol Psychiatry. 2013 Aug;18(8):930-6. doi: 10.1038/mp.2012.96. Epub 2012 Jul 24.
9
Circadian desynchrony and metabolic dysfunction; did light pollution make us fat?
Med Hypotheses. 2011 Dec;77(6):1139-44. doi: 10.1016/j.mehy.2011.09.023. Epub 2011 Oct 7.
10
Brain activation changes before and after PAP treatment in obstructive sleep apnea.
Sleep. 2009 Sep;32(9):1161-72. doi: 10.1093/sleep/32.9.1161.

文献AI研究员

20分钟写一篇综述,助力文献阅读效率提升50倍。

立即体验

用中文搜PubMed

大模型驱动的PubMed中文搜索引擎

马上搜索

文档翻译

学术文献翻译模型,支持多种主流文档格式。

立即体验