Suppr超能文献

从信息处理角度看简化的计算记忆模型。

A simplified computational memory model from information processing.

机构信息

College of Information and Engineering, Taishan Medical University, Taian 271016, China.

College of Radiology, Taishan Medical University, Taian 271016, China.

出版信息

Sci Rep. 2016 Nov 23;6:37470. doi: 10.1038/srep37470.

Abstract

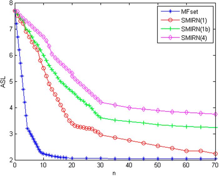
This paper is intended to propose a computational model for memory from the view of information processing. The model, called simplified memory information retrieval network (SMIRN), is a bi-modular hierarchical functional memory network by abstracting memory function and simulating memory information processing. At first meta-memory is defined to express the neuron or brain cortices based on the biology and graph theories, and we develop an intra-modular network with the modeling algorithm by mapping the node and edge, and then the bi-modular network is delineated with intra-modular and inter-modular. At last a polynomial retrieval algorithm is introduced. In this paper we simulate the memory phenomena and functions of memorization and strengthening by information processing algorithms. The theoretical analysis and the simulation results show that the model is in accordance with the memory phenomena from information processing view.

摘要

本文旨在从信息处理的角度提出一种记忆的计算模型。该模型称为简化记忆信息检索网络(SMIRN),通过抽象记忆功能并模拟记忆信息处理,是一种双模块分层功能记忆网络。首先,基于生物学和图论定义元记忆来表示神经元或大脑皮层,然后我们通过映射节点和边来开发具有建模算法的内模块网络,然后用内模块和模块间模块来描绘双模块网络。最后引入多项式检索算法。在本文中,我们通过信息处理算法模拟记忆现象和记忆与强化的功能。理论分析和仿真结果表明,该模型从信息处理的角度符合记忆现象。

https://cdn.ncbi.nlm.nih.gov/pmc/blobs/f8d8/5120294/1739b88d6c51/srep37470-f1.jpg

相似文献

1
A simplified computational memory model from information processing.
Sci Rep. 2016 Nov 23;6:37470. doi: 10.1038/srep37470.
2
Hierarchically clustered adaptive quantization CMAC and its learning convergence.
IEEE Trans Neural Netw. 2007 Nov;18(6):1658-82. doi: 10.1109/TNN.2007.900810.
3
A hybrid neural network of addressable and content-addressable memory.
Int J Neural Syst. 2003 Jun;13(3):205-13. doi: 10.1142/S0129065703001546.
4
Large-scale pattern storage and retrieval using generalized brain-state-in-a-box neural networks.
IEEE Trans Neural Netw. 2010 Apr;21(4):633-43. doi: 10.1109/TNN.2010.2040291. Epub 2010 Feb 17.
5
A hybrid neural network model for consciousness.
J Zhejiang Univ Sci. 2004 Nov;5(11):1440-8. doi: 10.1631/jzus.2004.1440.
6
Computational study on the neural mechanism of sequential pattern memory.
Brain Res Cogn Brain Res. 1996 Dec;5(1-2):137-46. doi: 10.1016/s0926-6410(96)00050-x.
7
Connectivity and thought: the influence of semantic network structure in a neurodynamical model of thinking.
Neural Netw. 2012 Aug;32:147-58. doi: 10.1016/j.neunet.2012.02.004. Epub 2012 Feb 14.
8
Spatio-temporal memories for machine learning: a long-term memory organization.
IEEE Trans Neural Netw. 2009 May;20(5):768-80. doi: 10.1109/TNN.2009.2012854. Epub 2009 Mar 27.
9
Experience-induced neural circuits that achieve high capacity.
Neural Comput. 2009 Oct;21(10):2715-54. doi: 10.1162/neco.2009.08-08-851.
10
An incremental regression method for graph structured data.
Neural Netw. 2005 Oct;18(8):1087-92. doi: 10.1016/j.neunet.2005.07.008. Epub 2005 Sep 12.

引用本文的文献

1
Models of human hippocampal specialization: a look at the electrophysiological evidence.
Trends Cogn Sci. 2025 Jun;29(6):556-569. doi: 10.1016/j.tics.2024.11.009. Epub 2024 Dec 12.
2
Aging effects on the encoding/retrieval flip in associative memory: fMRI evidence from incidental contingency learning.
Front Aging Neurosci. 2024 Mar 13;16:1357695. doi: 10.3389/fnagi.2024.1357695. eCollection 2024.

本文引用的文献

1
A simplified memory network model based on pattern formations.
Sci Rep. 2014 Dec 19;4:7568. doi: 10.1038/srep07568.
3
Remapping of memory encoding and retrieval networks: insights from neuroimaging in primates.
Behav Brain Res. 2014 Dec 15;275:53-61. doi: 10.1016/j.bbr.2014.08.046. Epub 2014 Sep 1.
4
Functional connectivity among spike trains in neural assemblies during rat working memory task.
Behav Brain Res. 2014 Nov 1;274:248-57. doi: 10.1016/j.bbr.2014.08.027. Epub 2014 Aug 19.
5
Memory consolidation from seconds to weeks: a three-stage neural network model with autonomous reinstatement dynamics.
Front Comput Neurosci. 2014 Jul 1;8:64. doi: 10.3389/fncom.2014.00064. eCollection 2014.
6
Modular structure of functional networks in olfactory memory.
Neuroimage. 2014 Jul 15;95:264-75. doi: 10.1016/j.neuroimage.2014.03.041. Epub 2014 Mar 22.
7
Transitory memory retrieval in a biologically plausible neural network model.
Cogn Neurodyn. 2013 Oct;7(5):409-16. doi: 10.1007/s11571-013-9244-2. Epub 2013 Feb 1.
8
Functional model of biological neural networks.
Cogn Neurodyn. 2010 Dec;4(4):295-313. doi: 10.1007/s11571-010-9110-4. Epub 2010 Apr 20.
9
Tree-like hierarchical associative memory structures.
Neural Netw. 2011 Mar;24(2):143-7. doi: 10.1016/j.neunet.2010.09.012. Epub 2010 Oct 7.
10
A computational theory of episodic memory formation in the hippocampus.
Behav Brain Res. 2010 Dec 31;215(2):180-96. doi: 10.1016/j.bbr.2010.03.027. Epub 2010 Mar 20.

文献AI研究员

20分钟写一篇综述,助力文献阅读效率提升50倍。

立即体验

用中文搜PubMed

大模型驱动的PubMed中文搜索引擎

马上搜索

文档翻译

学术文献翻译模型,支持多种主流文档格式。

立即体验