Suppr超能文献

评估miR-21和miR-375作为中国高危地区食管癌预后生物标志物的研究

Evaluation of miR-21 and miR-375 as prognostic biomarkers in oesophageal cancer in high-risk areas in China.

作者信息

He Yutong, Jin Jing, Wang LiQun, Hu Yuejiao, Liang Di, Yang Huichai, Liu Yueping, Shan Baoen

机构信息

Cancer Institute, The Fourth Hospital of Hebei Medical University/The Tumor Hospital of Hebei Province, Shijiazhuang, 050011, China.

Hospital Medical Insurance Department, The Fourth Hospital of Hebei Medical University/The Tumor Hospital of Hebei Province, Shijiazhuang, China.

出版信息

Clin Exp Metastasis. 2017 Jan;34(1):73-84. doi: 10.1007/s10585-016-9828-4. Epub 2016 Nov 24.

Abstract

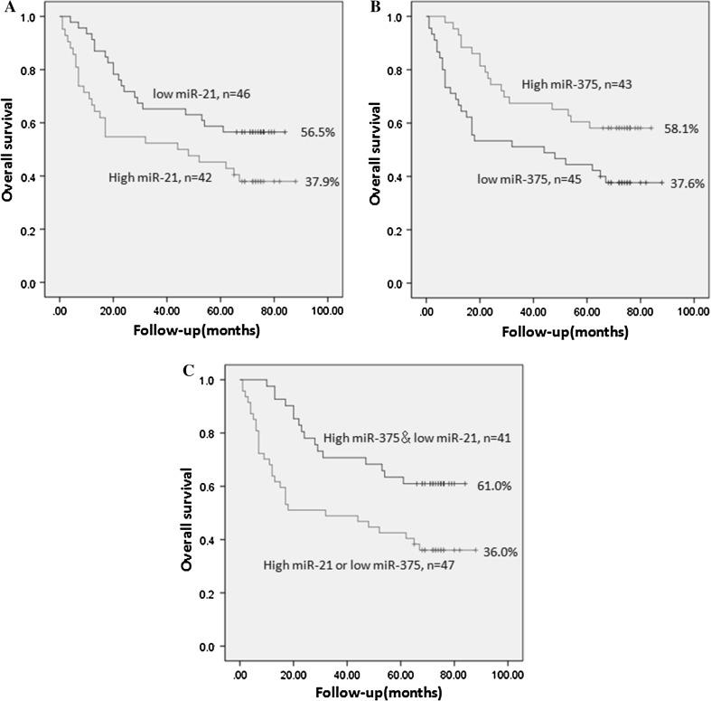
MicroRNAs have been associated with prognosis in oesophageal cancer (EC), suggesting that miRNAs could play a role in guiding treatment decisions. The aim of this study was to evaluate the prognostic potential of miRNAs found to be associated with zinc deficiency in a geographical area with a high incidence of EC. miRNAs found to be associated with zinc deficiency were isolated from EC cell lines cultured with various Zn levels. The expression levels of the miRNAs were quantified using qRT-PCR. The potential prognostic value of the selected miRNAs was assessed in a cohort study of 88 patients from an area in China with a high incidence of EC. Correlations between miRNAs and patient characteristics were assessed using χ statistical tests or Fisher's exact test. A Cox proportional hazards model was used to assess the correlations between miRNAs and overall survival (OS). Forest plots were performed to evaluate the prognostic impact of the miRNAs examined in the present study in the Asian population. The expression levels of miR-21, miR-31, miR-93 and miR-375 were different when Zn levels were varied in EC cell lines, but only miR-21 and miR-375 were associated with patient characteristics and prognosis in patients with EC from an area of China with a high incidence of EC. The patients expressing high levels of miR-21 had poor OS (HR 2.15, 95% CI 1.16-3.97), whereas those with high levels of miR-375 had improved OS (HR 0.47, 95% CI 0.26-0.87).The patients with both a high level of miR-375 and a low level of miR-21 had significantly better outcomes. Forest plots based on an analysis of this Asian population indicated that a high level of miR-21 significantly predicted a shortened OS (HR 1.83, 95% CI 1.42-2.37), whereas a high level of miR-375 was significantly correlated with increased survival (HR 0.56, 95% CI 0.43-0.73). MiR-21 and miR-375 could be used as prognostic biomarkers in areas with a high incidence of EC, and combining these markers may results in a better effect.

摘要

微小RNA(miRNA)已被证实与食管癌(EC)的预后相关,这表明miRNA可能在指导治疗决策中发挥作用。本研究旨在评估在食管癌高发地区发现的与锌缺乏相关的miRNA的预后潜力。从用不同锌水平培养的EC细胞系中分离出与锌缺乏相关的miRNA。使用qRT-PCR对miRNA的表达水平进行定量。在一项对来自中国食管癌高发地区的88例患者的队列研究中评估所选miRNA的潜在预后价值。使用χ²统计检验或Fisher精确检验评估miRNA与患者特征之间的相关性。采用Cox比例风险模型评估miRNA与总生存期(OS)之间的相关性。绘制森林图以评估本研究中检测的miRNA在亚洲人群中的预后影响。当EC细胞系中的锌水平不同时,miR-21、miR-31、miR-93和miR-375的表达水平有所差异,但只有miR-21和miR-375与中国食管癌高发地区EC患者的患者特征和预后相关。高表达miR-21的患者总生存期较差(HR 2.15,95%CI 1.16 - 3.97),而高表达miR-375的患者总生存期有所改善(HR 0.47,95%CI 0.26 - 0.87)。miR-375高水平且miR-21低水平的患者预后明显更好。基于对该亚洲人群分析的森林图表明,高水平的miR-21显著预示总生存期缩短(HR 1.83,95%CI 1.42 - 2.37),而高水平的miR-375与生存期增加显著相关(HR 0.56,95%CI 0.43 - 0.73)。miR-21和miR-375可作为食管癌高发地区的预后生物标志物,联合使用这些标志物可能会产生更好的效果。

https://cdn.ncbi.nlm.nih.gov/pmc/blobs/64ca/5285435/84c1cac4fb03/10585_2016_9828_Fig1_HTML.jpg

文献AI研究员

20分钟写一篇综述,助力文献阅读效率提升50倍。

立即体验

用中文搜PubMed

大模型驱动的PubMed中文搜索引擎

马上搜索

文档翻译

学术文献翻译模型,支持多种主流文档格式。

立即体验