Suppr超能文献

蜂窝状 α-RuCl 中的 Kitaev 交换和场致量子自旋液体态

Kitaev exchange and field-induced quantum spin-liquid states in honeycomb α-RuCl.

机构信息

Institute for Theoretical Solid State Physics, IFW Dresden, Helmholtzstrasse 20, 01069 Dresden, Germany.

Department of Physics, Technical University Dresden, Helmholtzstrasse 10, 01069 Dresden, Germany.

出版信息

Sci Rep. 2016 Nov 30;6:37925. doi: 10.1038/srep37925.

Abstract

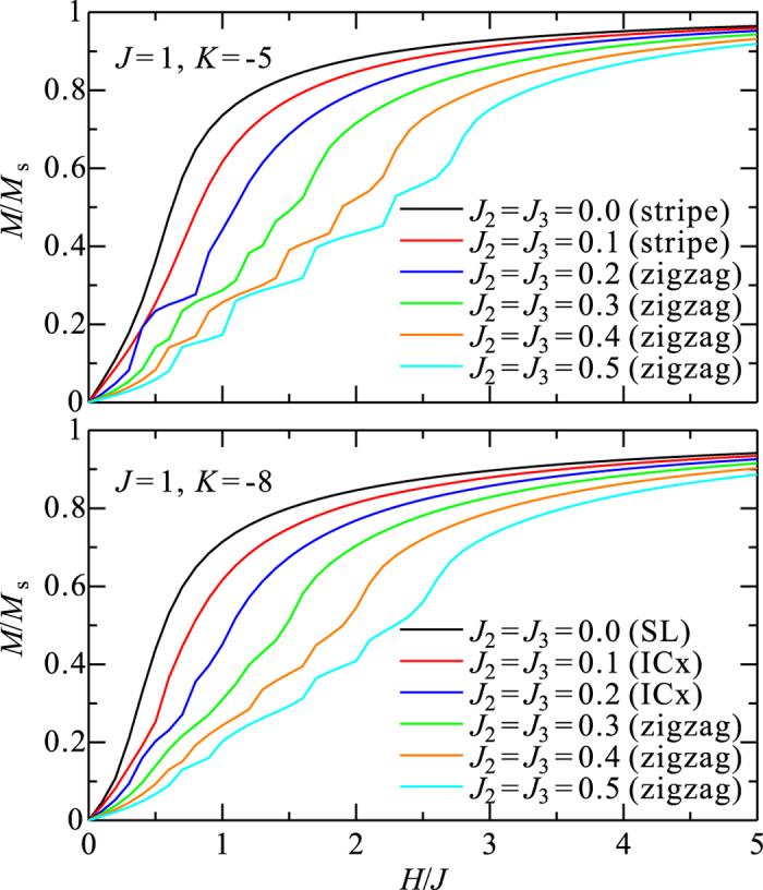
Large anisotropic exchange in 5d and 4d oxides and halides open the door to new types of magnetic ground states and excitations, inconceivable a decade ago. A prominent case is the Kitaev spin liquid, host of remarkable properties such as protection of quantum information and the emergence of Majorana fermions. Here we discuss the promise for spin-liquid behavior in the 4d honeycomb halide α-RuCl. From advanced electronic-structure calculations, we find that the Kitaev interaction is ferromagnetic, as in 5d iridium honeycomb oxides, and indeed defines the largest superexchange energy scale. A ferromagnetic Kitaev coupling is also supported by a detailed analysis of the field-dependent magnetization. Using exact diagonalization and density-matrix renormalization group techniques for extended Kitaev-Heisenberg spin Hamiltonians, we find indications for a transition from zigzag order to a gapped spin liquid when applying magnetic field. Our results offer a unified picture on recent magnetic and spectroscopic measurements on this material and open new perspectives on the prospect of realizing quantum spin liquids in d halides and oxides in general.

摘要

在 5d 和 4d 氧化物和卤化物中,大各向异性交换为新型磁基态和激发态开辟了道路,这在十年前是难以想象的。一个突出的例子是 Kitaev 自旋液体,它具有许多非凡的性质,如保护量子信息和出现马约拉纳费米子。在这里,我们讨论了 4d 蜂窝状卤化物 α-RuCl 中自旋液体行为的可能性。从先进的电子结构计算中,我们发现 Kitaev 相互作用是铁磁的,就像在 5d 铱蜂窝状氧化物中一样,实际上它定义了最大的超交换能量尺度。详细分析磁场依赖的磁化率也支持铁磁 Kitaev 耦合。我们使用扩展的 Kitaev-Heisenberg 自旋哈密顿量的精确对角化和密度矩阵重整化群技术,发现当施加磁场时,从交错有序到带隙自旋液体的转变迹象。我们的结果为该材料的最近磁性和光谱测量提供了一个统一的图景,并为在 d 卤化物和氧化物中实现量子自旋液体的前景开辟了新的视角。

https://cdn.ncbi.nlm.nih.gov/pmc/blobs/fa7b/5128801/5e281c6468b9/srep37925-f1.jpg

文献AI研究员

20分钟写一篇综述,助力文献阅读效率提升50倍。

立即体验

用中文搜PubMed

大模型驱动的PubMed中文搜索引擎

马上搜索

文档翻译

学术文献翻译模型,支持多种主流文档格式。

立即体验