Suppr超能文献

加蓬城市和农村暴露个体针对三种抗疟候选疫苗抗原的抗体反应比较

Comparative Antibody Responses Against three Antimalarial Vaccine Candidate Antigens from Urban and Rural Exposed Individuals in Gabon.

作者信息

Imboumy-Limoukou Roméo-Karl, Oyegue-Liabagui Sandrine Lydie, Ndidi Stella, Pegha-Moukandja Irène, Kouna Charlene Lady, Galaway Francis, Florent Isabelle, Lekana-Douki Jean Bernard

机构信息

Unité de Parasitologie Médicale (UPARAM), Centre International de Recherches Médicales de Franceville (CIRMF), BP 769 Franceville, Gabon; Molécules de Communication et Adaptation des Microorganismes (MCAM, UMR 7245), Sorbonne Universités, Muséum National d'Histoire Naturelle, CNRS, CP52, 57 rue Cuvier 75005 Paris, France; Ecole Doctorale Régionale en Infectiologie Tropicale d'Afrique Centrale (ECODRAC), BP 876 Franceville, Gabon.

Laboratoire de Recherches en Immunologie, Parasitologie et Microbiologie, Ecole Doctorale Régionale en Infectiologie Tropicale d'Afrique Centrale (ECODRAC) , BP 876 Franceville, Gabon.

出版信息

Eur J Microbiol Immunol (Bp). 2016 Nov 3;6(4):287-297. doi: 10.1556/1886.2016.00027. eCollection 2016 Dec 1.

Abstract

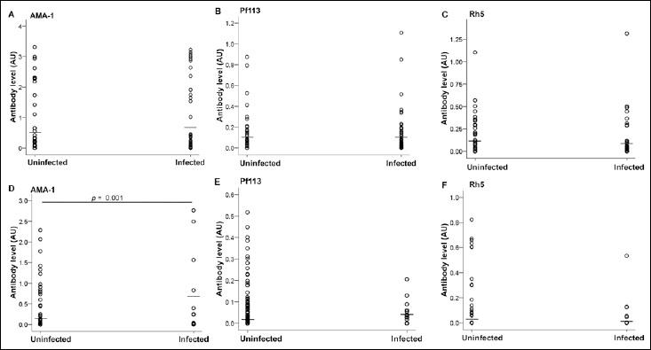
The analysis of immune responses in diverse malaria endemic regions provides more information to understand the host's immune response to Several plasmodial antigens have been reported as targets of human immunity. PfAMA1 is one of most studied vaccine candidates; PfRH5 and Pf113 are new promising vaccine candidates. The aim of this study was to evaluate humoral response against these three antigens among children of Lastourville (rural area) and Franceville (urban area). Malaria was diagnosed using rapid diagnosis tests. Plasma samples were tested against these antigens by enzyme-linked immunosorbent assay (ELISA). We found that malaria prevalence was five times higher in the rural area than in the urban area ( < 0.0001). The anti-PfAMA1 and PfRh5 response levels were significantly higher in Lastourville than in Franceville ( < 0.0001; = 0.005). The anti-AMA1 response was higher than the anti-Pf113 response, which in turn was higher than the anti-PfRh5 response in both sites. Anti-PfAMA1 levels were significantly higher in infected children than those in uninfected children ( = 0.001) in Franceville. Anti-Pf113 and anti-PfRh5 antibody levels were lowest in children presenting severe malarial anemia. These three antigens are targets of immunity in Gabon. Further studies on the role of Pf113 in antimalarial protection against severe anemia are needed.

摘要

对不同疟疾流行地区免疫反应的分析为了解宿主对疟原虫的免疫反应提供了更多信息。已有几种疟原虫抗原被报道为人类免疫的靶点。恶性疟原虫裂殖体表面蛋白1(PfAMA1)是研究最多的疫苗候选物之一;疟原虫红细胞结合蛋白5(PfRH5)和疟原虫113蛋白(Pf113)是新的有前景的疫苗候选物。本研究的目的是评估拉斯特维尔(农村地区)和弗朗斯维尔(城市地区)儿童针对这三种抗原的体液反应。使用快速诊断检测法诊断疟疾。通过酶联免疫吸附测定(ELISA)检测血浆样本针对这些抗原的情况。我们发现农村地区的疟疾患病率比城市地区高五倍(<0.0001)。拉斯特维尔的抗PfAMA1和抗PfRh5反应水平显著高于弗朗斯维尔(<0.0001;=0.005)。在两个地点抗AMA1反应均高于抗Pf113反应,而抗Pf113反应又高于抗PfRh5反应。在弗朗斯维尔,感染儿童的抗PfAMA1水平显著高于未感染儿童(=0.001)。抗Pf113和抗PfRh5抗体水平在患有严重疟疾贫血的儿童中最低。这三种抗原是加蓬免疫的靶点。需要进一步研究Pf113在预防严重贫血的抗疟保护中的作用。

https://cdn.ncbi.nlm.nih.gov/pmc/blobs/7d9a/5146647/f9b631114532/eujmi-06-287-g001.jpg

文献AI研究员

20分钟写一篇综述,助力文献阅读效率提升50倍。

立即体验

用中文搜PubMed

大模型驱动的PubMed中文搜索引擎

马上搜索

文档翻译

学术文献翻译模型,支持多种主流文档格式。

立即体验