Suppr超能文献

在人工管理的动物种群中,繁殖成功率由社会动态和亲属关系预测。

Reproductive success is predicted by social dynamics and kinship in managed animal populations.

作者信息

Newman Saul J, Eyre Simon, Kimble Catherine H, Arcos-Burgos Mauricio, Hogg Carolyn, Easteal Simon

机构信息

John Curtin School of Medical Research, Australian National University, Acton, Australia.

Wellington Zoo, Wellington, New Zealand.

出版信息

F1000Res. 2016 May 11;5:870. doi: 10.12688/f1000research.8713.1. eCollection 2016.

Abstract

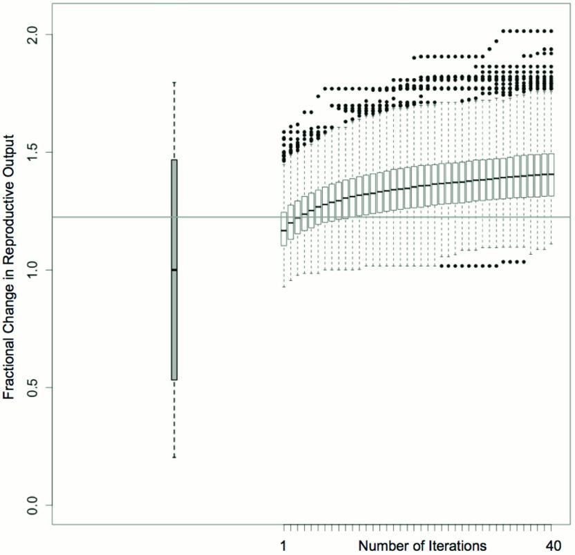
Kin and group interactions are important determinants of reproductive success in many species. Their optimization could, therefore, potentially improve the productivity and breeding success of managed populations used for agricultural and conservation purposes. Here we demonstrate this potential using a novel approach to measure and predict the effect of kin and group dynamics on reproductive output in a well-known species, the meerkat . Variation in social dynamics predicts 30% of the individual variation in reproductive success of this species in managed populations, and accurately forecasts reproductive output at least two years into the future. Optimization of social dynamics in captive meerkat populations doubles their projected reproductive output. These results demonstrate the utility of a quantitative approach to breeding programs informed by social and kinship dynamics. They suggest that this approach has great potential for improvements in the management of social endangered and agricultural species.

摘要

在许多物种中,亲属关系和群体互动是繁殖成功的重要决定因素。因此,对它们进行优化可能会提高用于农业和保护目的的管理种群的生产力和繁殖成功率。在这里,我们使用一种新颖的方法来测量和预测亲属关系和群体动态对一种知名物种狐獴繁殖产出的影响,以此证明这种潜力。社会动态的变化预测了该物种在管理种群中繁殖成功率个体差异的30%,并能准确预测至少未来两年的繁殖产出。圈养狐獴种群中社会动态的优化使其预计繁殖产出增加一倍。这些结果证明了一种基于社会和亲属关系动态的定量方法在育种计划中的实用性。它们表明这种方法在改善对濒危社会物种和农业物种的管理方面具有巨大潜力。

https://cdn.ncbi.nlm.nih.gov/pmc/blobs/457b/5155502/33701aa63e7f/f1000research-5-9375-g0000.jpg

文献AI研究员

20分钟写一篇综述,助力文献阅读效率提升50倍。

立即体验

用中文搜PubMed

大模型驱动的PubMed中文搜索引擎

马上搜索

文档翻译

学术文献翻译模型,支持多种主流文档格式。

立即体验