Suppr超能文献

治疗前血清碱性磷酸酶和乳酸脱氢酶作为三阴性乳腺癌的预后因素

Pre-treatment serum alkaline phosphatase and lactate dehydrogenase as prognostic factors in triple negative breast cancer.

作者信息

Chen Bo, Dai Danian, Tang Hailin, Chen Xi, Ai Xiaohong, Huang Xiaojia, Wei Weidong, Xie Xiaoming

机构信息

Department of Breast Oncology, Sun Yat-Sen University Cancer Center, State Key Laboratory of Oncology in South China, Collaborative Innovation Center for Cancer Medicine, Guangzhou, China.

Department of Anatomy, Medical College, University of South China, Hengyang, Hunan Province, China.

出版信息

J Cancer. 2016 Nov 25;7(15):2309-2316. doi: 10.7150/jca.16622. eCollection 2016.

Abstract

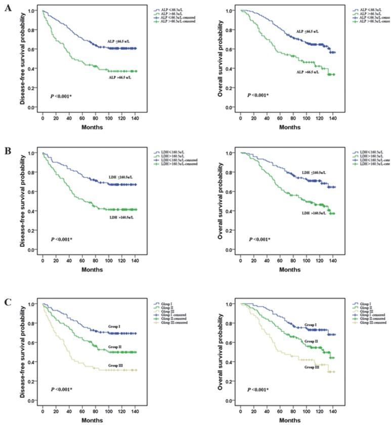
Serum parameters as prognostic parameters are studied widely. We aim to examine the prognostic significance of the serum alkaline phosphatase (ALP) level and lactate dehydrogenase (LDH) level in triple negative breast cancer (TNBC). Total of 253 TNBC patients from Sun Yat-sen University Cancer Center who underwent treatment between January 2004 and December 2009 was conducted in this retrospective study. Before treatment serum ALP and LDH levels were routinely measured. We use the receiver operating characteristic (ROC) curve analysis to estimate the cutoff value of serum ALP and LDH levels. The Kaplan-Meier method and multivariable Cox regression analysis were used for Disease free survival (DFS) and overall survival (OS) assessed. The ROC curves determined that the optimum cutoff point for ALP and LDH were 66.5u/L and 160.5u/L, respectively. The elevated ALP and LDH were both significantly associated with decreased DFS and OS (both P < 0.001). In addition, the entire cohort was stratified into three subgroups basis of ALP levels and LDH levels. TNBC Patients who with ALP >66.5 u/L and LDH >160.5u/L had the worst DFS and OS (both P < 0.001). In TNBC patients, univariate and multivariate Cox regression analyses conformed ALP and LDH were independent unfavorable prognostic factors for DFS and OS. The serum levels of ALP and LDH before treatment are independent prognostic parameters and may serve as complement to help predict survival in TNBC.

摘要

血清参数作为预后参数已得到广泛研究。我们旨在探讨血清碱性磷酸酶(ALP)水平和乳酸脱氢酶(LDH)水平在三阴性乳腺癌(TNBC)中的预后意义。本回顾性研究纳入了2004年1月至2009年12月期间在中山大学肿瘤防治中心接受治疗的253例TNBC患者。治疗前常规检测血清ALP和LDH水平。我们采用受试者工作特征(ROC)曲线分析来估计血清ALP和LDH水平的临界值。采用Kaplan-Meier法和多变量Cox回归分析评估无病生存期(DFS)和总生存期(OS)。ROC曲线确定ALP和LDH的最佳临界值分别为66.5u/L和160.5u/L。ALP和LDH升高均与DFS和OS降低显著相关(均P<0.001)。此外,根据ALP水平和LDH水平将整个队列分为三个亚组。ALP>66.5 u/L且LDH>160.5u/L的TNBC患者DFS和OS最差(均P<0.001)。在TNBC患者中,单变量和多变量Cox回归分析证实ALP和LDH是DFS和OS的独立不良预后因素。治疗前血清ALP和LDH水平是独立的预后参数,可作为补充以帮助预测TNBC患者的生存情况。

https://cdn.ncbi.nlm.nih.gov/pmc/blobs/87e7/5166542/c0999ac25590/jcav07p2309g001.jpg

文献AI研究员

20分钟写一篇综述,助力文献阅读效率提升50倍。

立即体验

用中文搜PubMed

大模型驱动的PubMed中文搜索引擎

马上搜索

文档翻译

学术文献翻译模型,支持多种主流文档格式。

立即体验