Nasiri Marjan, Etebari Mahmoud, Jafarian-Dehkordi Abbas, Moradi Shahla
Department of Pharmacology and Isfahan Pharmaceutical Sciences Research Center, School of Pharmacy and Pharmaceutical Sciences, Isfahan University of Medical Sciences, Isfahan, I.R. Iran.
Res Pharm Sci. 2016 Dec;11(6):470-475. doi: 10.4103/1735-5362.194876.
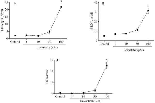
Lovastatin as a member of 3-hydroxy-3-methylglutaryl-coenzyme A (HMG-CoA) reductase inhibitors is used as a lipid-lowering agent. It can also inhibit the formation of hydrogen peroxide and superoxide anion and finally leads to decline in oxidative stress processes. Here, we evaluated whether lovastatin can increase DNA damage resistance of HepG2 cells against genotoxicity of the anticancer drug bleomycin (BLM). HepG2 cells were incubated with different concentrations of lovastatin (0.1, 0.5, 1, 5 µM) before exposure to BLM (0.5 µg/mL for one h). The genotoxic dose of BLM and lovastatin was separately determined and comet assay was used to evaluate the genotoxicity. After trapping cells in agarose coated lames, they were lysed and the electrophoresis was done in alkaline pH, then colored and monitored by florescent microscope. The results of this study indicated that lovastatin in doses lower than 5 µM has genoprotective effect and in doses higher than 50 µM is genotoxic. In conclusion, lovastatin is able to protect genotoxic effects of BLM in HepG2 cells. Further studies are needed to elucidate the mechanism(s) involved in this process.
洛伐他汀作为3-羟基-3-甲基戊二酰辅酶A(HMG-CoA)还原酶抑制剂的一员,被用作降脂药物。它还能抑制过氧化氢和超氧阴离子的形成,最终导致氧化应激过程减弱。在此,我们评估了洛伐他汀是否能增强HepG2细胞对抗癌药物博来霉素(BLM)遗传毒性的DNA损伤抗性。在暴露于BLM(0.5 μg/mL,1小时)之前,将HepG2细胞与不同浓度的洛伐他汀(0.1、0.5、1、5 μM)孵育。分别确定BLM和洛伐他汀的遗传毒性剂量,并使用彗星试验评估遗传毒性。将细胞捕获在涂有琼脂糖的载玻片上后,进行裂解,并在碱性pH条件下进行电泳,然后染色并通过荧光显微镜监测。本研究结果表明,低于5 μM剂量的洛伐他汀具有基因保护作用,而高于50 μM剂量的洛伐他汀具有遗传毒性。总之,洛伐他汀能够保护HepG2细胞免受BLM的遗传毒性作用。需要进一步研究来阐明这一过程中涉及的机制。