Suppr超能文献

颈椎损伤:用于分析脊柱负荷的全身肌肉骨骼模型

Cervical Spine Injuries: A Whole-Body Musculoskeletal Model for the Analysis of Spinal Loading.

作者信息

Cazzola Dario, Holsgrove Timothy P, Preatoni Ezio, Gill Harinderjit S, Trewartha Grant

机构信息

Department for Health, University of Bath, Bath, United Kingdom.

Centre for Orthopaedic Biomechanics, Department of Mechanical Engineering, University of Bath, Bath, United Kingdom.

出版信息

PLoS One. 2017 Jan 4;12(1):e0169329. doi: 10.1371/journal.pone.0169329. eCollection 2017.

Abstract

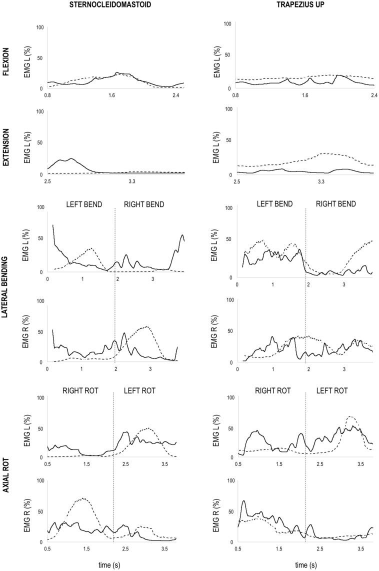
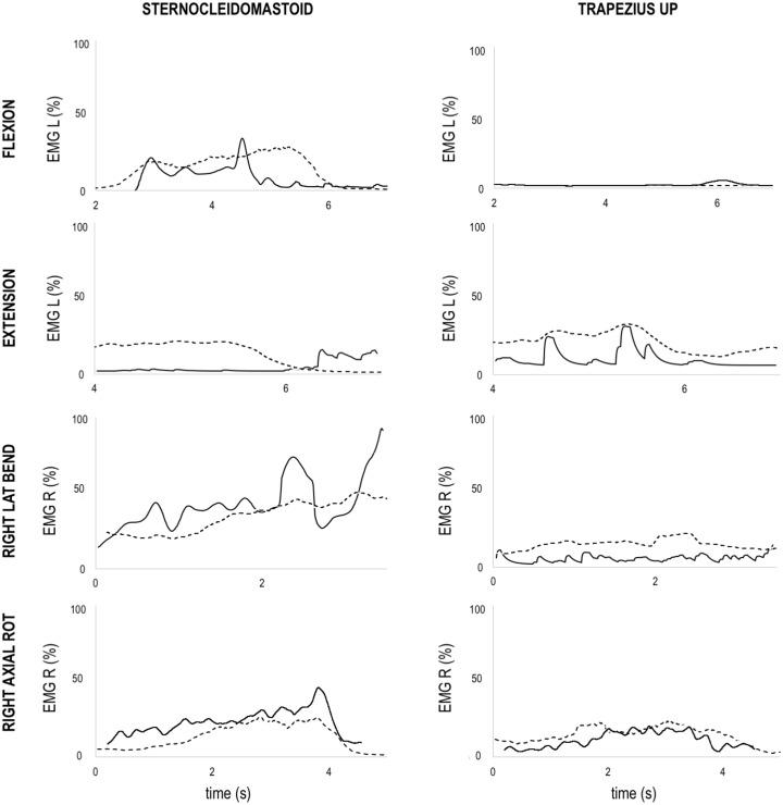
Cervical spine trauma from sport or traffic collisions can have devastating consequences for individuals and a high societal cost. The precise mechanisms of such injuries are still unknown as investigation is hampered by the difficulty in experimentally replicating the conditions under which these injuries occur. We harness the benefits of computer simulation to report on the creation and validation of i) a generic musculoskeletal model (MASI) for the analyses of cervical spine loading in healthy subjects, and ii) a population-specific version of the model (Rugby Model), for investigating cervical spine injury mechanisms during rugby activities. The musculoskeletal models were created in OpenSim, and validated against in vivo data of a healthy subject and a rugby player performing neck and upper limb movements. The novel aspects of the Rugby Model comprise i) population-specific inertial properties and muscle parameters representing rugby forward players, and ii) a custom scapula-clavicular joint that allows the application of multiple external loads. We confirm the utility of the developed generic and population-specific models via verification steps and validation of kinematics, joint moments and neuromuscular activations during rugby scrummaging and neck functional movements, which achieve results comparable with in vivo and in vitro data. The Rugby Model was validated and used for the first time to provide insight into anatomical loading and cervical spine injury mechanisms related to rugby, whilst the MASI introduces a new computational tool to allow investigation of spinal injuries arising from other sporting activities, transport, and ergonomic applications. The models used in this study are freely available at simtk.org and allow to integrate in silico analyses with experimental approaches in injury prevention.

摘要

运动或交通碰撞导致的颈椎创伤会给个人带来毁灭性后果,并造成高昂的社会成本。由于难以通过实验复制这些损伤发生的条件,此类损伤的确切机制仍不明确。我们利用计算机模拟的优势,报告了以下内容的创建和验证:i)用于分析健康受试者颈椎负荷的通用肌肉骨骼模型(MASI),以及ii)用于研究橄榄球活动期间颈椎损伤机制的特定人群版本模型(橄榄球模型)。肌肉骨骼模型在OpenSim中创建,并根据健康受试者和进行颈部及上肢运动的橄榄球运动员的体内数据进行验证。橄榄球模型的新颖之处包括:i)代表橄榄球前锋球员的特定人群惯性属性和肌肉参数,以及ii)一个允许施加多个外部负荷的定制肩胛-锁骨关节。我们通过验证步骤以及对橄榄球争球和颈部功能运动期间的运动学、关节力矩和神经肌肉激活进行验证,证实了所开发的通用模型和特定人群模型的实用性,其结果与体内和体外数据相当。橄榄球模型首次得到验证并用于深入了解与橄榄球相关的解剖学负荷和颈椎损伤机制,而MASI引入了一种新的计算工具,可用于研究其他体育活动、交通和人体工程学应用中产生的脊柱损伤。本研究中使用的模型可在simtk.org上免费获取,并允许将计算机模拟分析与损伤预防中的实验方法相结合。

https://cdn.ncbi.nlm.nih.gov/pmc/blobs/eda5/5214544/074912886810/pone.0169329.g001.jpg

文献AI研究员

20分钟写一篇综述,助力文献阅读效率提升50倍。

立即体验

用中文搜PubMed

大模型驱动的PubMed中文搜索引擎

马上搜索

文档翻译

学术文献翻译模型,支持多种主流文档格式。

立即体验