Suppr超能文献

自身免疫性肝炎患者中瞬时弹性成像及肝纤维化无创标志物的性能与效用:单中心经验

Performance and Utility of Transient Elastography and Non-Invasive Markers of Liver Fiibrosis in Patients with Autoimmune Hepatitis: A Single Centre Experience.

作者信息

E Anastasiou Olympia, Büchter Matthias, A Baba Hideo, Korth Johannes, Canbay Ali, Gerken Guido, Kahraman Alisan

机构信息

Department of Gastroenterology and Hepatology, University Hospital, University Duisburg Essen, Germany.

Department of Pathology, University Hospital, University Duisburg Essen, Germany.

出版信息

Hepat Mon. 2016 Oct 31;16(11):e40737. doi: 10.5812/hepatmon.40737. eCollection 2016 Nov.

Abstract

OBJECTIVES

Autoimmune hepatitis (AIH) is a relatively rare cause of hepatic dysfunction, which can lead to acute liver failure (ALV) and cirrhosis if not treated. The performance of transient elastography (TE) compared to liver biopsy has been evaluated in many liver diseases. The aim of the present study was to evaluate the performance of TE and other non-invasive markers for liver fiibrosis in patients with biopsy-proven AIH.

METHODS

Fifty-three patients who were treated at the department of gastroenterology and hepatology of the University Clinic Essen from 2008 to 2013 included in this retrospective study. Laboratory parameters were used to calculate non-invasive markers for liver fiibrosis. Every patient underwent a liver biopsy within 6 months of the liver stiffness measurement.

RESULTS

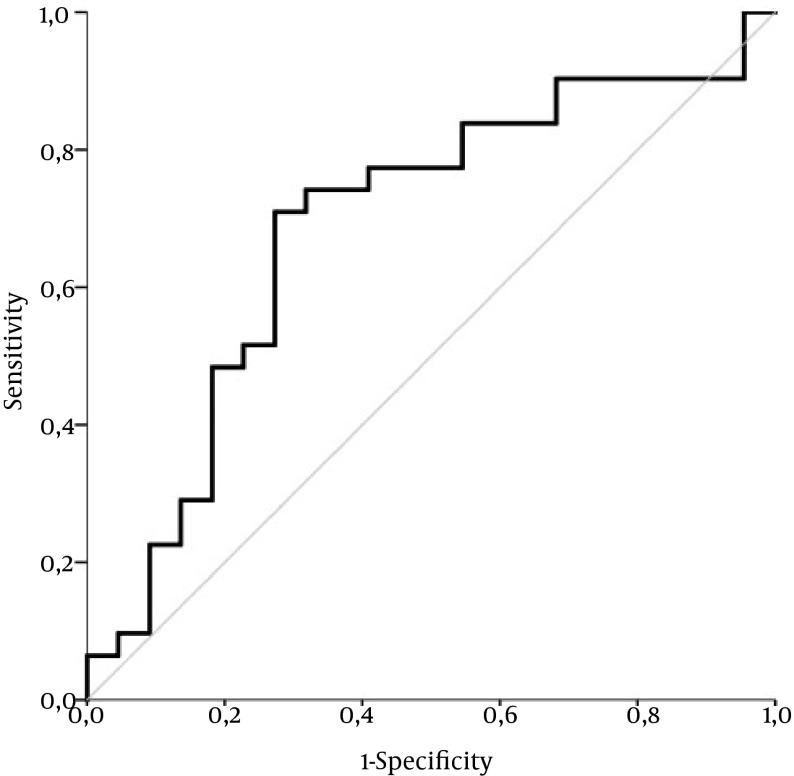
Transient elastography score, non-alcoholic fatty liver disease (NAFLD) fiibrosis score, Fiibrosis 4 score (FIB-4), and FibroQ were associated with the stage of fiibrosis, whereas other non-invasive markers of liver fiibrosis (aspartate transaminase (AST) to alanine transaminase (ALT) ratio, and AST to platelet ratio index (APRI)) did not demonstrate a significant correlation. NAFLD fiibrosis score and FibroQ performed slightly better in ROC curve analysis than TE in differentiating mild to moderate from severe fiibrosis (AUC 0.895 and 0.773 vs. 0.739; P < 0.001 and = 0.01, respectively), while TE performed slightly better, but still not adequate, in differentiating mild from all other stages of fiibrosis compared to NAFLD fiibrosis score and FibroQ (AUC 0.779 vs. 0.752 and 0.684; P = 0.051 and 0.009).

CONCLUSIONS

Transient elastography, NAFLD fiibrosis score, and FibroQ are valuable non-invasive markers for the evaluation of liver fiibrosis in autoimmune hepatitis but they cannot replace liver biopsy, especially in differentiating mild from more advanced stages of fiibrosis.

摘要

目的

自身免疫性肝炎(AIH)是肝功能障碍相对少见的病因,若不治疗可导致急性肝衰竭(ALF)和肝硬化。在许多肝脏疾病中,已对瞬时弹性成像(TE)与肝活检的性能进行了评估。本研究的目的是评估TE及其他无创性肝纤维化标志物在经活检证实的AIH患者中的性能。

方法

本回顾性研究纳入了2008年至2013年在埃森大学诊所胃肠病学和肝病科接受治疗的53例患者。实验室参数用于计算无创性肝纤维化标志物。每位患者在进行肝脏硬度测量的6个月内接受了肝活检。

结果

瞬时弹性成像评分、非酒精性脂肪性肝病(NAFLD)纤维化评分、纤维化4评分(FIB-4)和FibroQ与纤维化分期相关,而其他无创性肝纤维化标志物(天冬氨酸转氨酶(AST)与丙氨酸转氨酶(ALT)比值以及AST与血小板比值指数(APRI))未显示出显著相关性。在区分轻度至中度纤维化与重度纤维化方面,NAFLD纤维化评分和FibroQ在ROC曲线分析中的表现略优于TE(AUC分别为0.895和0.773,而TE为0.739;P分别<0.001和=0.01),而在区分轻度纤维化与所有其他纤维化阶段方面,TE的表现略优于NAFLD纤维化评分和FibroQ,但仍不充分(AUC分别为0.779、0.752和0.684;P分别=0.051和0.009)。

结论

瞬时弹性成像、NAFLD纤维化评分和FibroQ是评估自身免疫性肝炎肝纤维化的有价值的无创性标志物,但它们不能替代肝活检,尤其是在区分轻度纤维化与更晚期纤维化方面。

https://cdn.ncbi.nlm.nih.gov/pmc/blobs/7339/5203728/06a01ba18024/hepatmon-16-11-40737-i001.jpg

文献检索

告别复杂PubMed语法,用中文像聊天一样搜索,搜遍4000万医学文献。AI智能推荐,让科研检索更轻松。

立即免费搜索

文件翻译

保留排版,准确专业,支持PDF/Word/PPT等文件格式,支持 12+语言互译。

免费翻译文档

深度研究

AI帮你快速写综述,25分钟生成高质量综述,智能提取关键信息,辅助科研写作。

立即免费体验