• 文献检索
  • 文档翻译
  • 深度研究
  • 学术资讯
  • Suppr Zotero 插件Zotero 插件
  • 邀请有礼
  • 套餐&价格
  • 历史记录
应用&插件
Suppr Zotero 插件Zotero 插件浏览器插件Mac 客户端Windows 客户端微信小程序
定价
高级版会员购买积分包购买API积分包
服务
文献检索文档翻译深度研究API 文档MCP 服务
关于我们
关于 Suppr公司介绍联系我们用户协议隐私条款
关注我们

Suppr 超能文献

核心技术专利:CN118964589B侵权必究
粤ICP备2023148730 号-1Suppr @ 2026

文献检索

告别复杂PubMed语法,用中文像聊天一样搜索,搜遍4000万医学文献。AI智能推荐,让科研检索更轻松。

立即免费搜索

文件翻译

保留排版,准确专业,支持PDF/Word/PPT等文件格式,支持 12+语言互译。

免费翻译文档

深度研究

AI帮你快速写综述,25分钟生成高质量综述,智能提取关键信息,辅助科研写作。

立即免费体验

全基因组甲基化定量性状位点分析揭示了甲基化位点与GAD1和HDAC3单核苷酸多态性以及一般精神疾病风险评分之间的关联。

A methylome-wide mQTL analysis reveals associations of methylation sites with GAD1 and HDAC3 SNPs and a general psychiatric risk score.

作者信息

Ciuculete D M, Boström A E, Voisin S, Philipps H, Titova O E, Bandstein M, Nikontovic L, Williams M J, Mwinyi J, Schiöth H B

机构信息

Division of Functional Pharmacology, Department of Neuroscience, Biomedicinskt Centrum, Uppsala University, Uppsala, Sweden.

出版信息

Transl Psychiatry. 2017 Jan 17;7(1):e1002. doi: 10.1038/tp.2016.275.

DOI:10.1038/tp.2016.275
PMID:28094813
原文链接:https://pmc.ncbi.nlm.nih.gov/articles/PMC5545735/
Abstract

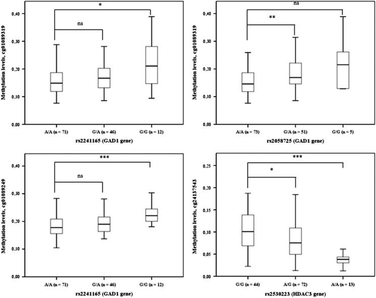
Genome-wide association studies have identified a number of single-nucleotide polymorphisms (SNPs) that are associated with psychiatric diseases. Increasing body of evidence suggests a complex connection of SNPs and the transcriptional and epigenetic regulation of gene expression, which is poorly understood. In the current study, we investigated the interplay between genetic risk variants, shifts in methylation and mRNA levels in whole blood from 223 adolescents distinguished by a risk for developing psychiatric disorders. We analyzed 37 SNPs previously associated with psychiatric diseases in relation to genome-wide DNA methylation levels using linear models, with Bonferroni correction and adjusting for cell-type composition. Associations between DNA methylation, mRNA levels and psychiatric disease risk evaluated by the Development and Well-Being Assessment (DAWBA) score were identified by robust linear models, Pearson's correlations and binary regression models. We detected five SNPs (in HCRTR1, GAD1, HADC3 and FKBP5) that were associated with eight CpG sites, validating five of these SNP-CpG pairs. Three of these CpG sites, that is, cg01089319 (GAD1), cg01089249 (GAD1) and cg24137543 (DIAPH1), manifest in significant gene expression changes and overlap with active regulatory regions in chromatin states of brain tissues. Importantly, methylation levels at cg01089319 were associated with the DAWBA score in the discovery group. These results show how distinct SNPs linked with psychiatric diseases are associated with epigenetic shifts with relevance for gene expression. Our findings give a novel insight on how genetic variants may modulate risks for the development of psychiatric diseases.

摘要

全基因组关联研究已经确定了一些与精神疾病相关的单核苷酸多态性(SNP)。越来越多的证据表明SNP与基因表达的转录和表观遗传调控之间存在复杂的联系,但对此了解甚少。在本研究中,我们调查了223名有患精神疾病风险的青少年全血中遗传风险变异、甲基化变化和mRNA水平之间的相互作用。我们使用线性模型分析了37个先前与精神疾病相关的SNP与全基因组DNA甲基化水平的关系,并进行了Bonferroni校正和细胞类型组成调整。通过稳健线性模型、Pearson相关性和二元回归模型确定了DNA甲基化、mRNA水平与通过发育与幸福感评估(DAWBA)评分评估的精神疾病风险之间的关联。我们检测到5个SNP(位于HCRTR1、GAD1、HADC3和FKBP5中)与8个CpG位点相关,验证了其中5对SNP-CpG对。其中3个CpG位点,即cg01089319(GAD1)、cg01089249(GAD1)和cg24137543(DIAPH1),表现出显著的基因表达变化,并与脑组织染色质状态中的活性调控区域重叠。重要的是,cg01089319处的甲基化水平与发现组中的DAWBA评分相关。这些结果表明与精神疾病相关的不同SNP如何与表观遗传变化相关联,而表观遗传变化与基因表达有关。我们的发现为遗传变异如何调节精神疾病发展风险提供了新的见解。

https://cdn.ncbi.nlm.nih.gov/pmc/blobs/9fc1/5545735/b8967b18a50f/tp2016275f5.jpg
https://cdn.ncbi.nlm.nih.gov/pmc/blobs/9fc1/5545735/0ccb08aa8a02/tp2016275f1.jpg
https://cdn.ncbi.nlm.nih.gov/pmc/blobs/9fc1/5545735/5a53e483fa0a/tp2016275f2.jpg
https://cdn.ncbi.nlm.nih.gov/pmc/blobs/9fc1/5545735/745e1fe4a4a2/tp2016275f3.jpg
https://cdn.ncbi.nlm.nih.gov/pmc/blobs/9fc1/5545735/ec9f4168ed32/tp2016275f4.jpg
https://cdn.ncbi.nlm.nih.gov/pmc/blobs/9fc1/5545735/b8967b18a50f/tp2016275f5.jpg
https://cdn.ncbi.nlm.nih.gov/pmc/blobs/9fc1/5545735/0ccb08aa8a02/tp2016275f1.jpg
https://cdn.ncbi.nlm.nih.gov/pmc/blobs/9fc1/5545735/5a53e483fa0a/tp2016275f2.jpg
https://cdn.ncbi.nlm.nih.gov/pmc/blobs/9fc1/5545735/745e1fe4a4a2/tp2016275f3.jpg
https://cdn.ncbi.nlm.nih.gov/pmc/blobs/9fc1/5545735/ec9f4168ed32/tp2016275f4.jpg
https://cdn.ncbi.nlm.nih.gov/pmc/blobs/9fc1/5545735/b8967b18a50f/tp2016275f5.jpg

相似文献

1
A methylome-wide mQTL analysis reveals associations of methylation sites with GAD1 and HDAC3 SNPs and a general psychiatric risk score.全基因组甲基化定量性状位点分析揭示了甲基化位点与GAD1和HDAC3单核苷酸多态性以及一般精神疾病风险评分之间的关联。
Transl Psychiatry. 2017 Jan 17;7(1):e1002. doi: 10.1038/tp.2016.275.
2
A Genome-Wide mQTL Analysis in Human Adipose Tissue Identifies Genetic Variants Associated with DNA Methylation, Gene Expression and Metabolic Traits.一项针对人体脂肪组织的全基因组甲基化数量性状基因座分析确定了与DNA甲基化、基因表达和代谢性状相关的遗传变异。
PLoS One. 2016 Jun 20;11(6):e0157776. doi: 10.1371/journal.pone.0157776. eCollection 2016.
3
Genome-wide associations between genetic and epigenetic variation influence mRNA expression and insulin secretion in human pancreatic islets.基因与表观遗传变异之间的全基因组关联影响人类胰岛中的mRNA表达和胰岛素分泌。
PLoS Genet. 2014 Nov 6;10(11):e1004735. doi: 10.1371/journal.pgen.1004735. eCollection 2014 Nov.
4
Epigenetic signature of panic disorder: a role of glutamate decarboxylase 1 (GAD1) DNA hypomethylation?惊恐障碍的表观遗传学特征:谷氨酸脱羧酶 1 (GAD1) DNA 低甲基化的作用?
Prog Neuropsychopharmacol Biol Psychiatry. 2013 Oct 1;46:189-96. doi: 10.1016/j.pnpbp.2013.07.014. Epub 2013 Jul 29.
5
Circuit- and Diagnosis-Specific DNA Methylation Changes at γ-Aminobutyric Acid-Related Genes in Postmortem Human Hippocampus in Schizophrenia and Bipolar Disorder.精神分裂症和双相情感障碍患者死后海马体中γ-氨基丁酸相关基因的与电路和诊断特异性的 DNA 甲基化变化。
JAMA Psychiatry. 2015 Jun;72(6):541-51. doi: 10.1001/jamapsychiatry.2015.49.
6
High density methylation QTL analysis in human blood via next-generation sequencing of the methylated genomic DNA fraction.通过甲基化基因组DNA片段的下一代测序对人类血液进行高密度甲基化QTL分析。
Genome Biol. 2015 Dec 23;16:291. doi: 10.1186/s13059-015-0842-7.
7
GAD1 mRNA expression and DNA methylation in prefrontal cortex of subjects with schizophrenia.精神分裂症患者前额叶皮层中的 GAD1 mRNA 表达和 DNA 甲基化。
PLoS One. 2007 Aug 29;2(8):e809. doi: 10.1371/journal.pone.0000809.
8
Polymorphisms involving gain or loss of CpG sites are significantly enriched in trait-associated SNPs.涉及CpG位点增减的多态性在性状相关的单核苷酸多态性中显著富集。
Oncotarget. 2015 Nov 24;6(37):39995-40004. doi: 10.18632/oncotarget.5650.
9
Changes in methylation within the STK32B promoter are associated with an increased risk for generalized anxiety disorder in adolescents.STK32B 启动子中的甲基化变化与青少年广泛性焦虑症的风险增加有关。
J Psychiatr Res. 2018 Jul;102:44-51. doi: 10.1016/j.jpsychires.2018.03.008. Epub 2018 Mar 26.
10
SH2B1 CpG-SNP is associated with body weight reduction in obese subjects following a dietary restriction program.SH2B1 CpG单核苷酸多态性与肥胖受试者在饮食限制计划后的体重减轻有关。
Ann Nutr Metab. 2015;66(1):1-9. doi: 10.1159/000368425. Epub 2014 Dec 2.

引用本文的文献

1
The Two Faces of HDAC3: Neuroinflammation in Disease and Neuroprotection in Recovery.HDAC3的两面性:疾病中的神经炎症与恢复过程中的神经保护作用
Epigenomics. 2024 Nov-Nov;16(21-22):1373-1388. doi: 10.1080/17501911.2024.2419357. Epub 2024 Nov 8.
2
Increased Methylation of Brain-Derived Neurotrophic Factor ( Is Related to Emotionally Unstable Personality Disorder and Severity of Suicide Attempt in Women.脑源性神经营养因子(BDNF)的甲基化增加与女性情绪不稳定型人格障碍和自杀未遂的严重程度有关。
Cells. 2023 Jan 17;12(3):350. doi: 10.3390/cells12030350.
3
Genetic regulation of newborn telomere length is mediated and modified by DNA methylation.

本文引用的文献

1
Postprandial alterations in whole-blood DNA methylation are mediated by changes in white blood cell composition.餐后全血DNA甲基化的改变是由白细胞组成的变化介导的。
Am J Clin Nutr. 2016 Aug;104(2):518-25. doi: 10.3945/ajcn.115.122366. Epub 2016 Jul 6.
2
A targeted analysis reveals relevant shifts in the methylation and transcription of genes responsible for bile acid homeostasis and drug metabolism in non-alcoholic fatty liver disease.一项靶向分析揭示了非酒精性脂肪性肝病中负责胆汁酸稳态和药物代谢的基因在甲基化和转录方面的相关变化。
BMC Genomics. 2016 Jun 14;17:462. doi: 10.1186/s12864-016-2814-z.
3
BDNF rs6265 methylation and genotype interact on risk for schizophrenia.
新生儿端粒长度的遗传调控由DNA甲基化介导并修饰。
Front Genet. 2022 Oct 4;13:934277. doi: 10.3389/fgene.2022.934277. eCollection 2022.
4
Genome-wide DNA methylation status of Mongolians exhibits signs of cellular stress response related to their nomadic lifestyle.蒙古族全基因组 DNA 甲基化状态显示出与游牧生活方式相关的细胞应激反应的迹象。
J Physiol Anthropol. 2022 Aug 19;41(1):30. doi: 10.1186/s40101-022-00305-0.
5
Challenges in Analyzing Functional Epigenetic Data in Perspective of Adolescent Psychiatric Health.从青少年精神健康角度分析功能表观遗传学数据的挑战。
Int J Mol Sci. 2022 May 23;23(10):5856. doi: 10.3390/ijms23105856.
6
Variation in Genotype and DNA Methylation Patterns Based on Alcohol Use and CVD in the Korean Genome and Epidemiology Study (KoGES).基于韩国基因组和流行病学研究(KoGES)中饮酒和心血管疾病(CVD)的基因型和 DNA 甲基化模式的变化。
Genes (Basel). 2022 Jan 19;13(2):172. doi: 10.3390/genes13020172.
7
Identifying causal models between genetically regulated methylation patterns and gene expression in healthy colon tissue.鉴定健康结肠组织中基因调控的甲基化模式与基因表达之间的因果模型。
Clin Epigenetics. 2021 Aug 21;13(1):162. doi: 10.1186/s13148-021-01148-9.
8
The critical roles of histone deacetylase 3 in the pathogenesis of solid organ injury.组蛋白去乙酰化酶 3 在实体器官损伤发病机制中的关键作用。
Cell Death Dis. 2021 Jul 23;12(8):734. doi: 10.1038/s41419-021-04019-6.
9
The role of epigenetic mechanisms in the regulation of gene expression in the cyclical endometrium.表观遗传机制在周期性子宫内膜中基因表达调控中的作用。
Clin Epigenetics. 2021 May 25;13(1):116. doi: 10.1186/s13148-021-01103-8.
10
The role of epigenetics in psychological resilience.表观遗传学在心理弹性中的作用。
Lancet Psychiatry. 2021 Jul;8(7):620-629. doi: 10.1016/S2215-0366(20)30515-0. Epub 2021 Apr 27.
脑源性神经营养因子基因rs6265的甲基化与基因型在精神分裂症风险上存在相互作用。
Epigenetics. 2016;11(1):11-23. doi: 10.1080/15592294.2015.1117736. Epub 2016 Feb 18.
4
Many obesity-associated SNPs strongly associate with DNA methylation changes at proximal promoters and enhancers.许多与肥胖相关的单核苷酸多态性(SNP)与近端启动子和增强子处的DNA甲基化变化密切相关。
Genome Med. 2015 Oct 8;7:103. doi: 10.1186/s13073-015-0225-4.
5
LDlink: a web-based application for exploring population-specific haplotype structure and linking correlated alleles of possible functional variants.LDlink:一个基于网络的应用程序,用于探索特定人群的单倍型结构,并链接可能具有功能变异的相关等位基因。
Bioinformatics. 2015 Nov 1;31(21):3555-7. doi: 10.1093/bioinformatics/btv402. Epub 2015 Jul 2.
6
The alternative role of DNA methylation in splicing regulation.DNA 甲基化在剪接调控中的替代作用。
Trends Genet. 2015 May;31(5):274-80. doi: 10.1016/j.tig.2015.03.002. Epub 2015 Mar 30.
7
Histone deacetylase 3 is necessary for proper brain development.组蛋白去乙酰化酶3对正常的大脑发育是必需的。
J Biol Chem. 2014 Dec 12;289(50):34569-82. doi: 10.1074/jbc.M114.576397. Epub 2014 Oct 22.
8
MethylAid: visual and interactive quality control of large Illumina 450k datasets.MethylAid:Illumina 450k 大数据集的可视化和交互式质量控制
Bioinformatics. 2014 Dec 1;30(23):3435-7. doi: 10.1093/bioinformatics/btu566. Epub 2014 Aug 21.
9
An atlas of active enhancers across human cell types and tissues.人类细胞类型和组织中活跃增强子图谱。
Nature. 2014 Mar 27;507(7493):455-461. doi: 10.1038/nature12787.
10
Accounting for population stratification in DNA methylation studies.考虑 DNA 甲基化研究中的群体分层。
Genet Epidemiol. 2014 Apr;38(3):231-41. doi: 10.1002/gepi.21789. Epub 2014 Jan 29.