Suppr超能文献

希腊奥林匹斯山上的种群:“丰富中心”在哪里?

populations on Mt. Olympus, Greece: where's the "abundant centre"?

作者信息

Tzortzaki Anastasia E, Vokou Despoina, Halley John M

机构信息

Department of Biological Applications and Technology, University of Ioannina, Ioannina, Greece.

Department of Ecology, School of Biology, Aristotle University of Thessaloniki, Thessaloniki, Greece.

出版信息

J Biol Res (Thessalon). 2017 Jan 14;24:1. doi: 10.1186/s40709-016-0058-3. eCollection 2017 Dec.

Abstract

BACKGROUND

The abundant-centre hypothesis (ACH) assumes that a species becomes more abundant at the centre of its range, where the environmental conditions are most favorable. As we move away from this centre, abundance and occupancy decline. Although this is obvious intuitively, efforts to confirm the hypothesis have often failed. We investigated the abundance patterns of across its altitudinal range on Mt. Olympus, Greece, in order to evaluate the "abundant centre" hypothesis along an elevation gradient. Furthermore, we explored the species' presence and dynamics at multiple spatial scales.

METHODS

We recorded flowering individuals during the summer months of 2012 and 2013 along a series of transects defined by paths. We investigated whether the probability of acquiring a larger number of individuals is larger toward the centre of its altitudinal distribution. We also calculated mean presence and turnover at different spatial scales that ranged from quadrats of 10 × 10 m to about 10 × 10 km.

RESULTS

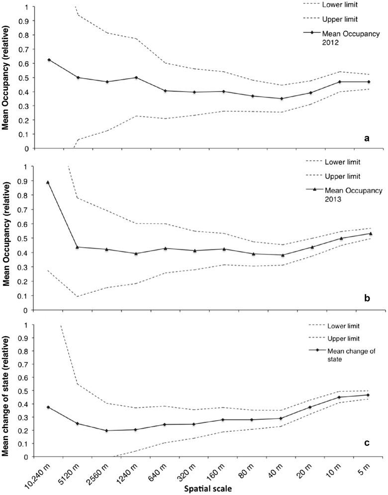
We were able to identify an abundant centre but only for one of the years of sampling. During the second year, we noted a two-peak abundance pattern; with the first peak occurring at 650-750 m and the second at 1100-1300 m. Variability in the species-presence pattern is observed across a wide range of spatial scales. The pattern along the transect displays fractal characteristics, consistent with a dimension of 0.24-0.29. We found substantial changes of state between the 2 years at all resolutions.

CONCLUSIONS

Our results do not contradict the ACH, but indicate that ecological distributions exhibit types of variability that make the detection of abundant centres more difficult than expected. When a random fractal disturbance is superimposed upon an abundant centre, we can expect a pattern in which the centre is difficult to discern from a single instance. A multi-resolution or fractal approach to environmental variability is a promising approach for describing this phenomenon.

摘要

背景

丰度中心假说(ACH)假定一个物种在其分布范围的中心最为繁盛,因为那里的环境条件最为适宜。当我们从这个中心向外移动时,丰度和占有率会下降。虽然这在直观上是显而易见的,但证实该假说的努力往往失败。我们调查了希腊奥林匹斯山整个海拔范围内[物种名称未给出] 的丰度模式,以便沿着海拔梯度评估“丰度中心”假说。此外,我们在多个空间尺度上探究了该物种的存在情况和动态变化。

方法

我们在2012年和2013年的夏季沿着由路径定义的一系列样带记录开花个体。我们研究了在其海拔分布中心获取更多个体的概率是否更大。我们还计算了从10×10米的样方到约10×10千米的不同空间尺度上的平均存在情况和周转率。

结果

我们能够确定一个丰度中心,但仅在其中一年的采样中。在第二年里,我们注意到一种双峰丰度模式;第一个峰值出现在650 - 750米处,第二个峰值出现在1100 - 1300米处。在广泛的空间尺度上观察到物种存在模式存在变异性。样带上的模式显示出分形特征,维数在0.24 - 0.29之间。我们发现在所有分辨率下两年间状态都有显著变化。

结论

我们的结果并不与丰度中心假说相矛盾,但表明生态分布呈现出的变异性类型使得丰度中心的检测比预期更困难。当一个随机分形干扰叠加在一个丰度中心上时,我们可以预期会出现一种模式,即从单个实例中难以辨别该中心。采用多分辨率或分形方法来研究环境变异性是描述这一现象的一种有前景的方法。

https://cdn.ncbi.nlm.nih.gov/pmc/blobs/0fec/5237553/e414e98e4f81/40709_2016_58_Fig1_HTML.jpg

文献AI研究员

20分钟写一篇综述,助力文献阅读效率提升50倍。

立即体验

用中文搜PubMed

大模型驱动的PubMed中文搜索引擎

马上搜索

文档翻译

学术文献翻译模型,支持多种主流文档格式。

立即体验